Home
JournalsCollections
For Authors For Reviewers For Editorial Board Members
Article Processing Charges Open Access
Ethics Advertising Policy
Editorial Policy Resource Center
Company Information Contact Us Membership Collaborators Partners
OPEN ACCESS

Impact of Prolonged Ischemia and Fixation on the Immunohistochemical Expression of PD-L1 in Non-small Cell Lung Cancer Specimens

  • Angels Barberà1,2,* ,
  • Juan González3,
  • Montserrat Martin3,
  • Pedro Luis Fernández3,4,
  • Albert Oriol5,
  • Fina Martínez-Soler1,
  • Tomas Santalucia1 and
  • Jose Luis Mate3,4
Journal of Clinical and Translational Pathology   2026;6(1):47-51

doi: 10.14218/JCTP.2025.00038

Received:

Revised:

Accepted:

Published online:

 Author information

Citation: Barberà A, González J, Martin M, Fernández PL, Oriol A, Martínez-Soler F, et al. Impact of Prolonged Ischemia and Fixation on the Immunohistochemical Expression of PD-L1 in Non-small Cell Lung Cancer Specimens. J Clin Transl Pathol. 2026;6(1):47-51. doi: 10.14218/JCTP.2025.00038.

Humanized antibodies targeting PD-1 or PD-L1 are established standards of care for non–small cell lung cancer (NSCLC), and there seems to be a correlation between tissue expression of PD-L1 and response rate in patients.1,2 Most of the analytical challenges in the immunohistochemical evaluation of PD-L1 expression have been extensively analyzed.3 However, preanalytical issues have been scarcely explored. The impact of prolonged ischemia and tissue fixation on PD-L1 false-negative cases has been established, and the fixation time window to obtain optimal results in control tissue,4 most commonly tonsil, has also been determined.5,6 Extrapolation of such results to specific tumor tissues should be made with caution, as tonsil tissue is less affected by variability than tumor samples. Heterogeneity of expression may preclude the adequate interpretation of suboptimally processed samples.7 Moreover, small-size samples, including bronchoscopic biopsy specimens or cytology blocks, may be even more sensitive to prolonged prefixation periods.8 The main objective of this study was to determine the proportion of routine samples processed within acceptable preanalytical times and to evaluate the extrapolatability to NSCLC samples of ischemia and fixation time limits established for the assessment of PD-L1 expression in control tissue.

We retrospectively reviewed consecutive and unselected samples received at a referral pathology unit, selected from the unit database over a one-year period. Samples were eligible if they included an NSCLC diagnosis and PD-L1 determination. Sample processing was uniform across all the evaluated period (see File S1). Age, gender, biopsy site and method, processing method, histological subtype, and PD-L1 results, including proportion and intensity of positive cells, were recorded for each patient (Table 1, Table S1). Samples were considered PD-L1 positive if at least 1% of tumoral cells were positive, although other cut points were also explored. Based on previous studies in control tissue, an optimal preanalytical time of up to 72 h was defined. Time from surgical procedure to laboratory admission and time from laboratory arrival to end of fixation were obtained from the traceability system, and their addition was considered the full preanalytical time. Bivariate analysis was performed to assess significant relationships between the duration of the preanalytical process and PD-L1 results. The R-package version 3.0.1 was used for all statistical analyses (R Foundation for Statistical Computing, Vienna, Austria. https://www.R-project.org/ ). The study was approved by the the Comitè d’Etica de la Investigació amb medicaments, Hospital Universitari Germans Trias i Pujol (PI-18-072 approval number) and performed in adherence to the STROBE guidelines.

Table 1

Characteristics and PD-L1 status of NSCLC samples in 101 evaluable cases retrospectively obtained

All samples (N = 101)PD-L1 neg (N = 47)PD-L1 pos (N = 54)P-value
Patient gender0.7
  Female201010(50%)
  Male813744 (54%)
Patient age, median (IQR)69 (61–74)70 (63–75)67 (59–74)0.2
Monoclonal antibody
  SP142761 (14%)0.048
  SP263944153 (56%)
Lab process (1)
  Standard834043 (52%)0.5
  Fast-track18711 (61%)
Biopsy site
  Lung482127 (56%)0.5
  Mediastinal/pleural22913 (49%)
  Other311714 (45%)
Histology
  Adenocarcinoma532528 (53%)0.5
  Squamous421824 (57%)
  Other642(33%)
Specimen size (2)
  Core-needle673334 (51%)0.4
  Macrobiopsy341420 (59%)
Preanalytical period
  Within 72 h753540 (53%)0.9
  Four days1578 (53%)
  Over 4 days734 (57%)
  Missing4

Additionally, four selected fresh surgical tumorectomy specimens were used prospectively to support the findings of the main study. Samples were divided into four parts and processed in parallel under controlled ischemia and fixation times. A quarter of each specimen was processed with ischemia < 1 h and fixation time between 12 and 48 h (optimal processing), a second fraction was exposed to 12 h of ischemia and 12 to 48 h fixation (upper-limit ischemia), the third portion of the specimen was maintained in ischemia < 1 h and fixation for 72 h (upper-limit fixation), and finally, the last quarter was processed after 12 h ischemia and 72 h fixation (upper-limit for ischemia and fixation). Following fixation, specimens underwent standard histopathological processing into paraffin blocks with automated equipment (see File S1). Slides were immediately immunostained for PD-L1 according to manufacturer specifications.9 Two experienced pathologists assessed cellularity, histological preservation of the hematoxylin-eosin-stained samples, and the immunohistochemical PD-L1 results. The prospective part of the study was qualitative and confirmatory, without a formal contrast of hypothesis.

Among 148 identified formalin-fixed samples with an NSCLC diagnosis and an anti-PD-L1 determination, 47 (32%) were discarded either because they were not tested for PD-L1 (N = 42) or the tissue quality was inadequate (N = 5). Therefore, the final analysis included 101 samples, and their characteristics are summarized in Table 1 and Table S1. Four samples (4%) were received in the laboratory more than 24 h after completing the surgical procedure, and 12 (12%) had a fixation time that extended beyond 72 h. Overall, preanalytical procedures were completed within four days in 89% of the samples. Seven samples (7.2%) took more than four days, and four (4%) had a preanalytical process that was not fully traceable.

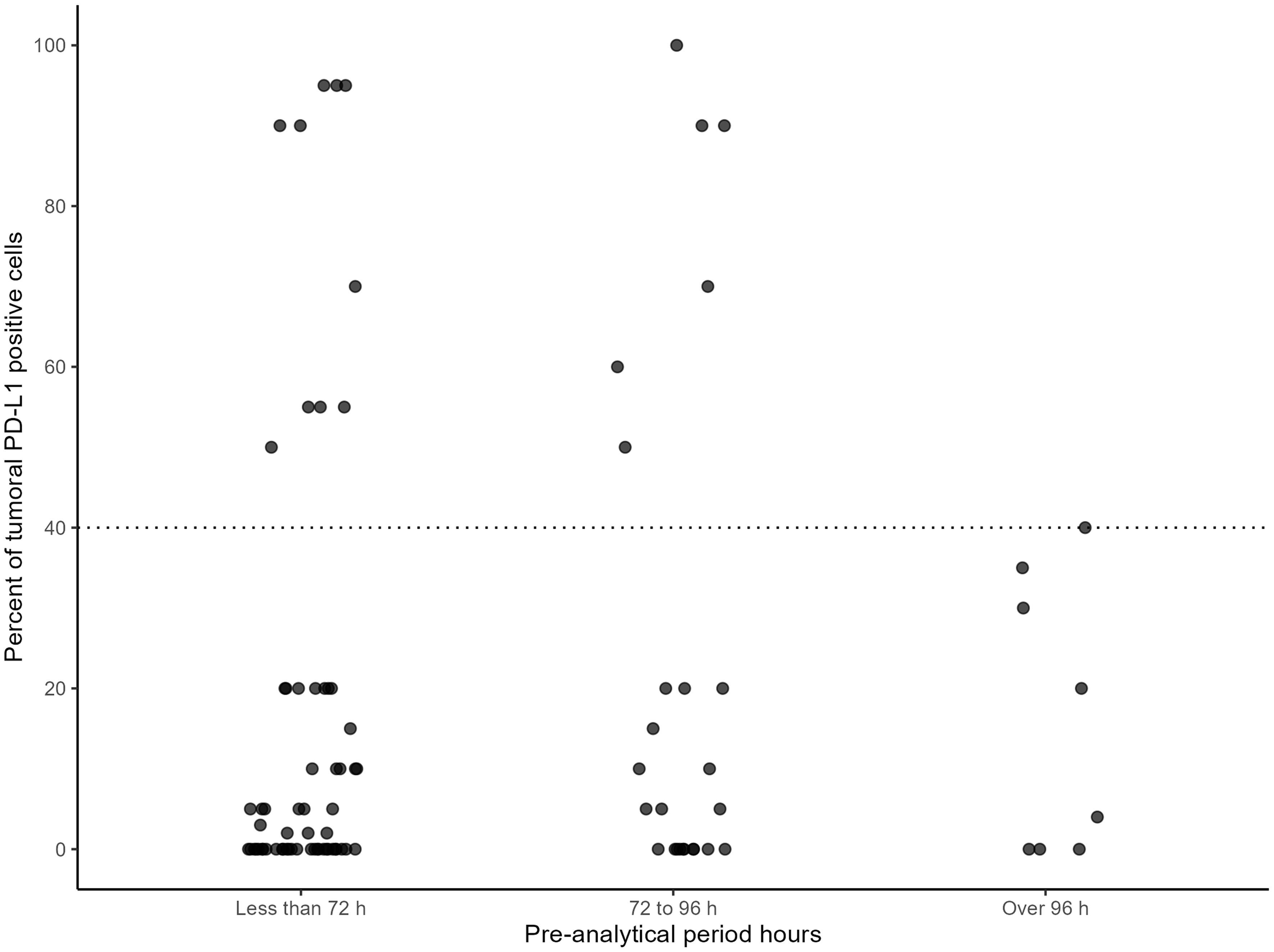
Mean processing time was not statistically different between PD-L1-positive and PD-L1-negative samples (2.25 days in both). Samples with an optimal preanalytical period (up to 72 h) were positive for PD-L1 in 40 cases (53%). When the preanalytical period extended beyond 72 h, samples were positive in 53% of cases, respectively. Other cut points are available in Table S1. The number of samples with an extended preanalytical period was insufficient to find any statistically significant difference. However, a post hoc evaluation revealed that samples with a preanalytical period over four days tended to have a lower number of positive cells (seven out of seven under 40% of positive cells) in contrast to the rest of the samples (18% with 40% or more PD-L1 positive cells). This analysis and cut points (Fig. 1) were not prespecified and should be considered exploratory. Other covariates did not affect the proportion of PD-L1-positive samples or have a significant interaction with the preanalytical period (Table 1). Although SP263 was the standard clone, seven samples, corresponding to metastatic lesion biopsies, were assessed with the SP142 clone. Only one case was positive for PD-L1, showing statistically inferior sensitivity than SP263. When SP142-stained cases were excluded from analysis, no significant changes were observed in the results of prior comparisons.

Percentage of PD-L1 positive cells plotted against pre-analytical period in hours. Black dots represent individual cases.
Fig. 1  Percentage of PD-L1 positive cells plotted against pre-analytical period in hours. Black dots represent individual cases.

PD-L1, programmed death ligand 1.

To support the post hoc findings, four specimens, including poorly differentiated adenocarcinoma, mucinous adenocarcinoma, non-keratinizing squamous, and moderately differentiated adenocarcinoma subtypes, were evaluated as described in Methods. The optimal processing, upper-limit ischemia, upper-limit fixation, and upper-limit for ischemia and fixation fractions of the specimen were compared qualitatively by two experienced pathologists. Representative areas are depicted in Figure 2. Sample 2 was negative for PD-L1 (not shown in figure), while samples 1 and 3 presented intense positivity (>50%) for PD-L1 that was maintained when processed with extended ischemia and fixation times (Fig. 2a and b). On the other hand, sample 4 presented low (1%) positivity when processed with optimal preanalytical times, and this positivity was lost when fixation was extended to 72 h (Fig. 2c). Positivity was also lost in macrophages, confirming that the lack of positivity was a true false negative and was not related to tumor heterogeneity.

PD-L1 results of three excisional tumor samples processed with <1-h ischemia and fixation time between 12 and 48 h (optimal processing – OP); 12 h of ischemia and 12 to 48 h fixation (upper-limit ischemia – LI); ischemia < 1 h and fixation for 72 h (upper-limit fixation – LF); and 12 h ischemia and 72 h fixation (upper-limit for ischemia and fixation – LIF).
Fig. 2  PD-L1 results of three excisional tumor samples processed with <1-h ischemia and fixation time between 12 and 48 h (optimal processing – OP); 12 h of ischemia and 12 to 48 h fixation (upper-limit ischemia – LI); ischemia < 1 h and fixation for 72 h (upper-limit fixation – LF); and 12 h ischemia and 72 h fixation (upper-limit for ischemia and fixation – LIF).

Samples A, poorly differentiated adenocarcinoma, and B, non-keratinizing squamous adenocarcinoma, presented intense positivity for PD-L1. Sample C, moderately differentiated adenocarcinoma, had low expression (1%) of PD-L1. A PD-L1-negative sample is not presented. Two pathologists evaluated the prospective slides and reached 100% concordance on the categorical status of the four prospective specimens. PD-L1, programmed death ligand 1.

Adequate diagnostic evaluation of PD-L1 expression is challenged by several tumor-related issues and analytical factors.10 Antibodies employed in PD-L1 diagnostic assays also exhibit differing degrees of robustness in the face of conformational structural changes induced by sample preanalytical processes.4 Heterogeneous PD-L1 expression within samples and sample limitations, including small size and fragmentation, are commonly found in everyday practice and may require an even stricter control of preanalytical processes.11 Diagnostics of NSCLC is increasingly dependent on bronchoscopy or core needle biopsies rather than surgical samples. Preanalytical issues may have a particular impact when smaller samples are tested. The aim of our study was to determine the proportion of samples that suffer an excessive preanalytical period in daily practice and establish the impact of extended preanalytical processing on the reproducibility and accuracy of the interpretation of immunohistochemistry staining for PD-L1. Our survey showed that a small proportion of routinely processed samples fall outside the limits of acceptability. Additionally, such limits appear to be adequate for the variety of samples analyzed in routine practice. Two-thirds of the samples of our retrospective analysis derived from core needle biopsy, and no differences in PD-L1 performance were observed. Although the use of SP142 was incidental (N = 7), its lower sensitivity to detect PD-L1 positivity was also confirmed.5,6

The scarce number of samples exposed to off-limit preanalytical periods constitutes the main limitation of the study, and consequently, the lack of statistical differences must be interpreted with caution. The lower proportion of positive cells in samples with a preanalytical period over four days appears to be particularly relevant despite being a post hoc finding and triggered a prospective evaluation of four additional samples that illustrated the previous finding. Intensely positive samples showed robust stability for PD-L1 staining with SP263, but the weakly positive specimen was inadequately stained when the preanalytical periods were extended. Such a finding is particularly relevant considering that most cases have PD-L1 positivity under 50%, and as much as 15% are in the 1–9% range and could potentially be misclassified if not optimally processed. The traceability system used at the time did not allow an exact differentiation between ischemia and fixation times, and we had to consider the preanalytical period globally. This is the second limitation of the study and a common limitation of many routine traceability systems. Our results endorse the implementation of more precise traceability of the preanalytical period. In conclusion, most routinely processed samples fell within acceptable limits, but we still observed a tendency toward a lower proportion of PD-L1-positive cells in the few samples with an extended preanalytical period. Time limits established in tonsillectomy samples appear to be also valid in NSCLC, irrespective of the type of sample when using the SP263 clone. Samples with a low proportion of positive cells or low intensity of expression may be falsely classified as negative if fixation and ischemia times extend into the upper limit of acceptability.

Supporting information

Supplementary material for this article is available at https://doi.org/10.14218/JCTP.2025.00038 .

File S1

Supplementary materials.

(DOCX)

Table S1

Variables of interest by categorized proportion of PD-L1 positive tumoral cells.

(DOCX)

Declarations

Acknowledgement

The authors would like to thank the Thoracic Surgery Service, who provided the samples, and the technical and auxiliary staff in the Pathology Department, who managed the collection and processing of samples; the institutional support provided by the Nursing Administration of the Hospital Germans Trias i Pujol; and the Tumor Bank at Institut Germans Trias i Pujol.

Ethical statement

The study was evaluated and approved by the Comitè d’Etica de la Investigació amb medicaments, Hospital Universitari Germans Trias i Pujol (PI-18-072 approval number) and was carried out in compliance with the 2024 revised Helsinki Declaration. The retrospective part of the study was waived of informed consent because data were fully anonymized from origin. The prospective samples were consented by patients for the investigational use of the extra tissue from diagnostic samples.

Data sharing statement

The statistical code and dataset used in support of the findings of this study are available from the corresponding author at mabarbera.germanstrias@gencat.cat upon request.

Funding

The authors did not have specific funding for this study.

Conflict of interest

The authors declare no conflict of interest.

Authors’ contributions

Conceptualization and study design (AB, PLF, JLM), study plan revision (TS, FML, AO), retrospective data collection and prospective sample processing (AB, JG, MM, JLM), evaluation of prospective samples (JLM, PLF), statistical analysis of retrospective samples (AO), manuscript drafting (AB, JLM, PLF), and critical revision of the manuscript (AB, JG, MM, PLF, AO, FMS, TS, JLM). All authors are accountable for the integrity of the data and findings reported and agreed to the final version of the manuscript.

References

  1. Gandhi L, Rodríguez-Abreu D, Gadgeel S, Esteban E, Felip E, De Angelis F, et al. Pembrolizumab plus Chemotherapy in Metastatic Non-Small-Cell Lung Cancer. N Engl J Med 2018;378(22):2078-2092 View Article PubMed/NCBI
  2. Pan ZK, Ye F, Wu X, An HX, Wu JX. Clinicopathological and prognostic significance of programmed cell death ligand1 (PD-L1) expression in patients with non-small cell lung cancer: a meta-analysis. J Thorac Dis 2015;7(3):462-470 View Article PubMed/NCBI
  3. Adam J, Le Stang N, Rouquette I, Cazes A, Badoual C, Pinot-Roussel H, et al. Multicenter harmonization study for PD-L1 IHC testing in non-small-cell lung cancer. Ann Oncol 2018;29(4):953-958 View Article PubMed/NCBI
  4. Lawson NL, Scorer PW, Williams GH, Vandenberghe ME, Ratcliffe MJ, Barker C. Impact of Decalcification, Cold Ischemia, and Deglycosylation on Performance of Programmed Cell Death Ligand-1 Antibodies With Different Binding Epitopes: Comparison of 7 Clones. Mod Pathol 2023;36(9):100220 View Article PubMed/NCBI
  5. Barberà A, Marginet Flinch R, Martin M, Mate JL, Oriol A, Martínez-Soler F, et al. The Immunohistochemical Expression of Programmed Death Ligand 1 (PD-L1) Is Affected by Sample Overfixation. Appl Immunohistochem Mol Morphol 2021;29(1):76-81 View Article PubMed/NCBI
  6. Barberà A, González J, Martin M, Mate JL, Oriol A, Martínez-Soler F, et al. Impact of Prolonged Ischemia on the Immunohistochemical Expression of Programmed Death Ligand 1 (PD-L1). Appl Immunohistochem Mol Morphol 2023;31(9):607-612 View Article PubMed/NCBI
  7. van Seijen M, Brcic L, Gonzales AN, Sansano I, Bendek M, Brcic I, et al. Impact of delayed and prolonged fixation on the evaluation of immunohistochemical staining on lung carcinoma resection specimen. Virchows Arch 2019;475(2):191-199 View Article PubMed/NCBI
  8. Hernandez A, Brandler TC, Chen F, Zhou F, Xia Y, Zhong J, et al. Scoring of Programmed Death-Ligand 1 Immunohistochemistry on Cytology Cell Block Specimens in Non-Small Cell Lung Carcinoma. Am J Clin Pathol 2020;154(4):517-524 View Article PubMed/NCBI
  9. Jørgensen JT. An update on companion and complementary diagnostic assays for PD-1/PD-L1 checkpoint inhibitors in NSCLC. Expert Rev Mol Diagn 2021;21(5):445-454 View Article PubMed/NCBI
  10. Büttner R, Gosney JR, Skov BG, Adam J, Motoi N, Bloom KJ, et al. Programmed Death-Ligand 1 Immunohistochemistry Testing: A Review of Analytical Assays and Clinical Implementation in Non-Small-Cell Lung Cancer. J Clin Oncol 2017;35(34):3867-3876 View Article PubMed/NCBI
  11. Nakamura S, Hayashi K, Imaoka Y, Kitamura Y, Akazawa Y, Tabata K, et al. Intratumoral heterogeneity of programmed cell death ligand-1 expression is common in lung cancer. PLoS One 2017;12(10):e0186192 View Article PubMed/NCBI

About this Article

Cite this article
Barberà A, González J, Martin M, Fernández PL, Oriol A, Martínez-Soler F, et al. Impact of Prolonged Ischemia and Fixation on the Immunohistochemical Expression of PD-L1 in Non-small Cell Lung Cancer Specimens. J Clin Transl Pathol. 2026;6(1):47-51. doi: 10.14218/JCTP.2025.00038.
Copy Export to RIS Export to EndNote
Article History
Received Revised Accepted Published
August 31, 2025 December 25, 2025 February 26, 2026 March 18, 2026
DOI http://dx.doi.org/10.14218/JCTP.2025.00038