Home
JournalsCollections
For Authors For Reviewers For Editorial Board Members
Article Processing Charges Open Access
Ethics Advertising Policy
Editorial Policy Resource Center
Company Information Contact Us Membership Collaborators Partners
Publications > Journals > Oncology Advances> Article Full Text
OPEN ACCESS

Inavolisib: A Selective Inhibitor of Mutant PI3Kα for the Treatment of Breast Cancer

  • Surya K. De* 
Oncology Advances   2025;3(3):e00012

doi: 10.14218/OnA.2025.00012

Received:

Revised:

Accepted:

Published online:

 Author information

Citation: De SK. Inavolisib: A Selective Inhibitor of Mutant PI3Kα for the Treatment of Breast Cancer. Oncol Adv. 2025;3(3):e00012. doi: 10.14218/OnA.2025.00012.

Breast cancer is one of the deadliest cancers that occurs in women. It remains the most invasive and common cancer among women worldwide. In 2023, over 2.3 million new cases were reported, resulting in approximately 685,000 deaths globally.1,2 Despite early detection and current treatment options such as surgery, radiation therapy, chemotherapy, hormone-blocking therapy, targeted therapy, and immunotherapy, breast cancer remains the leading cause of cancer-related death in women.3–6 Breast cancer arises from several gene mutations. A significant percentage of breast cancers involve mutations in the phosphatidylinositol-3 kinase (PI3K)/v-akt murine thymoma viral oncogene homolog (AKT)/mammalian target of rapamycin (mTOR) pathway. Several PI3K inhibitors have been approved for treating various diseases. Alpelisib is currently the only selective PI3Kα inhibitor targeting breast cancer approved by the U.S. Food and Drug Administration (FDA); however, it is associated with several severe treatment-related adverse events.

Several biological processes, such as cell growth and proliferation, cell survival, protein synthesis, and glycolytic metabolism, are regulated by the PI3K/AKT/mTOR signaling cascade.7,8 PI3K is a class of lipid kinases composed of two subunits: the regulatory p85 and catalytic p110.9 The hyperactivation of this pathway induces and supports tumor growth.10,11 Class I PI3K has four isoforms: α, β, γ, and δ. Among these, PI3Kα is frequently overexpressed in cancer cells through gene amplification or mutation of the PIK3CA gene.7,11–13 Indeed, PI3Kα hyperactivation occurs in approximately 29% of all breast cancers and 40% of hormone receptor (HR)+/ human epidermal growth factor receptor 2 (HER2)-breast cancer. The most common PIK3CA gene mutations are E545K and H1047R, with H1047R located in the catalytic region. Therefore, isoform-selective small-molecule PI3K inhibitors have gained significant interest in drug discovery for cancer treatment. Nevertheless, preclinical studies have demonstrated some drawbacks of PI3K pathway inhibition. The inhibition of PI3K signaling releases negative feedback, leading to activation of receptor tyrosine kinase signaling. This reactivation reengages the pathway, reducing drug efficacy. Additionally, most approved PI3K inhibitors also inhibit other signaling molecules such as AKT, mitogen-activated protein kinase (MAPK), tumor necrosis factor alpha (TNFα), C-X-C chemokine receptor type 4 (CXCR4), and CXCR5 in cell-based assays. Consequently, many PI3K inhibitors cause severe adverse events that may limit their clinical use. Scientists at Genentech have discovered a new class of compound that inhibits mutant PI3K signaling via HER2-dependent degradation of mutant p110α.12,14–16

Development of inavolisib

Investigators from Genentech previously reported the discovery of taselisib as a PI3Kα inhibitor (Fig. 1).17,18 However, taselisib also inhibits PI3Kδ and shows only moderate selectivity over PI3Kβ and PI3Kγ. The inhibition of PI3Kδ causes gastrointestinal and other toxicities. They subsequently identified compound a, which has 22-fold selectivity for PI3Kα over PI3Kδ (Table 1). Compound a inhibits PI3Kα (PI3Kα-H1047R) mutant HCC1954 cells and HDQ-P1 cells (PI3Kα wild-type). Introducing a polar group, such as trifluoromethyl on the triazole ring, resulted in compound b, which is more potent than compound a in biochemical assays. Replacing the oxygen linker with a cyclic nitrogen produced compound c, with a Ki of 26 picomolar, but its selectivity over PI3Kδ was reduced to only eight-fold. This change also increased the topological polar surface area, potentially reducing the compound’s cell permeability and bioavailability. Replacement of the aromatic triazole with an aliphatic oxygen-containing cyclic compound resulted in compound d, which exhibited greater selectivity over PI3Kδ (46-fold). Moving from a cyclic proline carboxamide to an acyclic alanine carboxamide, along with optimal positioning of the difluoro group, led to the clinical candidate inavolisib, which has 361-fold selectivity against PI3Kδ. Interestingly, these compounds also function as strong mutant p110α degraders.19

Starting from taselisib and compound a to clinical candidate inavolisib.
Fig. 1  Starting from taselisib and compound a to clinical candidate inavolisib.
Table 1

Selectivity of some compounds

CompoundPI3Kα Ki (nM)Selectivity PI3Kδ/PI3Kα timesHCC1954 pPRAS40 EC50 (nM)Ratio HDQ-P1/HCC1954TPSA in Å2LogD pH 7.4
Taselisib0.0901242.31182.3
a0.34622891.41101.9
b0.18814NDND1102.2
c0.0268NDND1301.5
d0.04346NDNDND0.8
Inavolisb0.034361194.41130.8

Physicochemical properties of inavolisib

Brand name: Itovebi; Chemical name: (2S)-2-[[2-[(4S)-4-(difluoromethyl)-2-oxo-oxazolidin-3-yl]-5,6-dihydroimidazo[1,2-d1,4]benzoxazepin-9-yl]amino]propanamide; Chemical formula: C18H19F2N5O4; Molecular weight: 407.37; Topological polar surface area: 113 Å2; Hydrogen bond donor count: 3; Hydrogen bond acceptor count: 9; Freely rotatable bond count: 5; Heavy atom count: 29; Number of rings: 4; LogD (pH 7.4): 0.8; Solubility: 38 µg/mL (aqueous pH 7.4); Rule of 5 violations: 0.

The molecular weight below 500, hydrogen bond donors fewer than five, hydrogen bond acceptors fewer than 10, and LogP less than five comply with Lipinski’s rule of 5. These characteristics suggest favorable oral absorption properties and oral bioavailable. Inavolisib does not violate Lipinski’s rule of 5. Its aqueous solubility and lower surface area enhance its oral bioavailability.

Synthesis

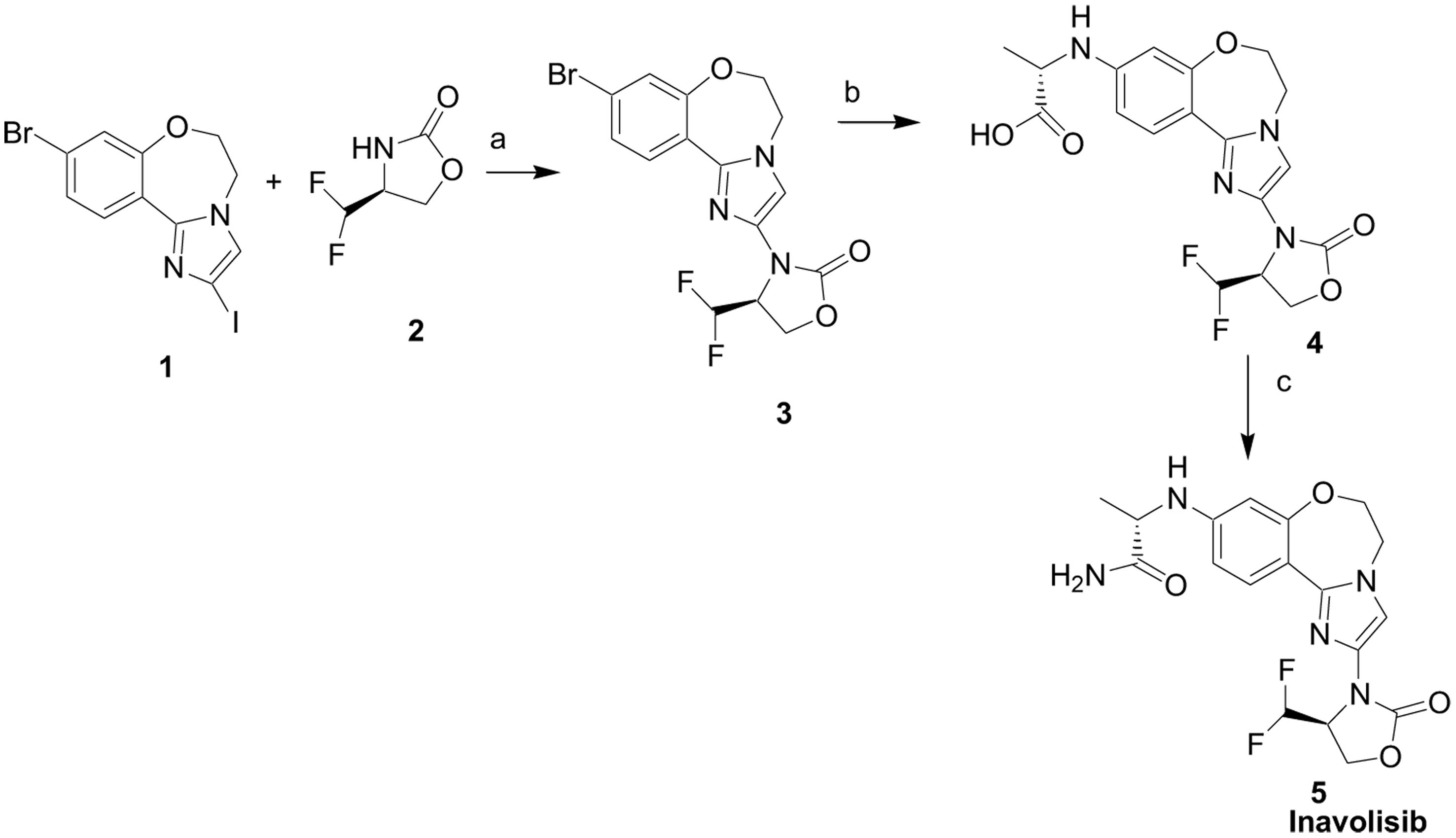
The synthesis of inavolisib starts from compound 1, as shown in Figure 2. Compound 1 is coupled with compound 2 in the presence of copper iodide and potassium carbonate in dioxane at 100 °C to afford compound 3 in 50% yield.19 The bromo group in compound 3 is replaced by alanine in a copper iodide-mediated reaction in dimethyl sulfoxide to give compound 4. The final step converts the carboxylic acid to carboxamide, producing inavolisib in 46% yield over the last two steps. After successful synthesis and biochemical characterization, inavolisib was selected for clinical trials to determine dose and route of administration.

Reagents and Conditions: (a) CuI, K<sub>2</sub>CO<sub>3</sub>, dioxane, 100 °C, 16 h, 50%; (b) L-Alanine, CuI, K<sub>3</sub>PO<sub>4</sub>, DMSO, 100 °C, 2 h; (c) NH<sub>4</sub>Cl, HATU, DIEA, DMF, rt, 1 h, 46%.
Fig. 2  Reagents and Conditions: (a) CuI, K2CO3, dioxane, 100 °C, 16 h, 50%; (b) L-Alanine, CuI, K3PO4, DMSO, 100 °C, 2 h; (c) NH4Cl, HATU, DIEA, DMF, rt, 1 h, 46%.

Dosage and administration

The recommended dose is 9 mg orally once daily, with or without food. Treatment continues until disease progression or unacceptable toxicities occur. For adverse events or intolerance, the dose can be reduced to 6 mg daily, with a second reduction to 3 mg daily. The exposure-response relationship for inavolisib’s efficacy (pharmacodynamics) has not been fully reported. The time course of its pharmacodynamic response is unclear. No significant changes in cardiac electrophysiology were observed in clinical trials [Clinical trial number: NCT04191499].

Mechanism of action of inavolisib

Inavolisib is a selective PI3Kα inhibitor that blocks phosphorylation of downstream AKT, resulting in inhibition of cell proliferation and induction of apoptosis in PIK3CA-mutated breast cancer cell lines. It also reduces tumor growth in PIK3CA-mutated, estrogen receptor-positive breast cancer xenograft models. Inavolisib, in combination with palbociclib and fulvestrant, demonstrates increased tumor growth inhibition compared to each treatment alone or doublet combinations. It inhibits two mutations, PIK3CAE545K and PIK3CAH1047R, although these mutations occur in different regions of the protein. This suggests that a global conformational change may occur in the presence of these activating mutations.

The efficacy of inavolisib was confirmed in a randomized (1:1), double-blind, placebo-controlled clinical trial (NCT04191499) in patients with PIK3CA-mutated, HR-positive, HER2-negative breast cancers. The median progression-free survival was 15 months for the inavolisib group compared to 7.3 months for the placebo plus palbociclib and fulvestrant group.

Binding mode

The X-ray crystal structure of inavolisib in complex with PI3K-α (PDB code: 8EXV) reveals that it binds in the adenosine triphosphate site (Fig. 3). The fluorine atom forms a hydrogen bond with Ser774.19 The oxygen atom in the oxazolidinone moiety forms a hydrogen bond with Asp810. The oxygen atom of the benzoxazepine forms a hydrogen bond with Trp780. The NH on phenyl forms a hydrogen bond with Arg770. The carboxamide moiety forms three hydrogen bonding interactions with the primary amide of Gln859 and the backbone carbonyl of Ser854.

Hydrogen bonding interactions of inavolisib with phosphoinositide 3-kinase alpha (PI3Kα).
Fig. 3  Hydrogen bonding interactions of inavolisib with phosphoinositide 3-kinase alpha (PI3Kα).

Pharmacokinetics

Absorption

The Tmax of inavolisib is 3 h, and its absolute bioavailability is 76%.15

Distribution

The steady-state oral volume of distribution of inavolisib is 155 L. It is 37% bound to human plasma proteins.

Elimination

The elimination half-life of inavolisib is 15 h, and its oral clearance is 8.8 L/h. The long half-life helps reduce the dosing interval and prevents excessive accumulation that could lead to toxicity.

Metabolism

Inavolisib is predominantly metabolized in the liver by cytochrome P450 3A family. It conjugates with stercobilin, a product of heme catabolism.20

Excretion

Following a single radiolabeled oral dose, 48% of inavolisib is recovered via feces (11% unchanged) and 49% via urine (40% unchanged).

Adverse reactions

During the clinical trial [NCT04191499], some adverse reactions (>10%) associated with inavolisib were observed, including headache, nausea, vomiting, diarrhea, stomatitis, fatigue, rash, dry skin, urinary tract infection, and decreased appetite. These adverse reactions were mild in severity (grade 1 or 2; no grade 3 or higher) and were manageable.

FDA-approved PI3K inhibitors include idelalisib, duvelisib, copanlisib, alpelisib, umbralisib, and leniolisib. Most of these inhibitors received accelerated approval based on single-arm clinical trials. However, randomized studies have shown a decrease in overall survival and an increase in fatal and severe adverse reactions. Consequently, idelalisib, copanlisib, duvelisib, and umbralisib have been withdrawn from the market due to concerns about severe adverse reactions and failure to meet efficacy expectations in confirmatory randomized, double-blind, placebo-controlled clinical trials. Alpelisib, a thiazole derivative, is a PI3Kα inhibitor with moderate selectivity over PI3Kδ (60-fold). Inhibition of PI3Kδ can cause gastrointestinal and other toxicities. Inavolisib is more selective for PI3Kα over PI3Kδ (361-fold) and is therefore considered safer than other PI3K inhibitors. Indeed, alpelisib, used for breast cancer treatment, is associated with several grade 3 adverse reactions (Table 2). In contrast, inavolisib treatment did not show any treatment-related grade 3 adverse reactions such as rash (0%), dry skin (0%), decreased appetite (0%), or urinary tract infection (0%). Moreover, inavolisib, which has a unique chemical structure, is both a selective PI3Kα inhibitor and a PI3Kα mutant degrader. Due to this novel mechanism of action, inavolisib demonstrates prolonged and durable target inhibition, strong efficacy, a long half-life, and manageable adverse side effects (Table 2) compared to alpelisib. Other FDA-approved PI3K inhibitors cause gastrointestinal toxicity due to inhibition of the PI3Kδ isoform. Inavolisib preferentially inhibits PI3Kα mutants over the wild type. Therefore, previously approved PI3Kα wild-type inhibitors cause insulinemia and hyperglycemia. Several PI3K inhibitors, such as taselisib, GNE-326, GNE-102, pictilisib, and GNE-181, are clinical candidates or in preclinical stages. These inhibitors are not sufficiently selective against PI3Kδ compared to inavolisib, which is 361 times selective. Their half-lives are shorter than those of inavolisib. Additionally, their higher dose ranges contribute to increased systemic toxicities.

Table 2

Comparison between alpelisib and inavolisib: selectivity, efficacy, and adverse events

InhibitorAplelisibInavolisib
Chemical structure
Selectivity PI3Kδ/PI3Kα (times)60361
Dosage300 mg orally daily9 mg orally daily
Half-life8 h15 h
Objective response rate (ORR)36%94%
Median progression-free survival (PFS)11 months15 months
Adverse event (Grade ≥ 3) in patients (%)Stomatitis (2.5%); Diarrhea (7%); Nausea (2.6%); Vomiting (1%); Headache (1%); Abdominal pain (1.7%); Fatigue (5%); Rash (20%); Dry skin (0.5%); Decreased appetite (1%); Urinary tract infection (0.7%); Weight decreased (5%)Stomatitis (6%); Diarrhea (3.7%); Nausea (0.6%); Vomiting (0.6%); Headache (0%); Fatigue (1.9%); Rash (0%); Dry skin (0%); Decreased appetite (0%); Urinary tract infection (0%); Weight decreased (3%)

Investigators from Genentech developed inavolisib as a selective PI3Kα inhibitor and a weak degrader of mutant PI3Kα for breast cancer treatment. Jauslin et al. reported it as a strong PI3Kα degrader.10 Currently, inavolisib alone or in combination with other drugs is undergoing clinical trials.21–23 This mini perspective summarizes inavolisib’s physicochemical properties, synthesis, mechanism of action, binding mode, pharmacokinetics, and treatment-emergent adverse events.

Declarations

Acknowledgement

None.

Funding

None.

Conflict of interest

Surya K. De has been an editorial board member of Oncology Advances since 2023. The author has no other conflicts of interest to disclose.

Authors’ contributions

SKD is the sole author of the manuscript.

References

  1. World Health Organization. WHO News Room, Fact sheets, Breast cancer. Geneva: World Health Organization; 2024. Available from: https://www.who.int/news-room/fact-sheets/detail/breast-cancer. Accessed April 2. 2025 View Article PubMed/NCBI
  2. Bray F, Laversanne M, Sung H, Ferlay J, Siegel RL, Soerjomataram I, et al. Global cancer statistics 2022: GLOBOCAN estimates of incidence and mortality worldwide for 36 cancers in 185 countries. CA Cancer J Clin 2024;74(3):229-263 View Article PubMed/NCBI
  3. Singh A, Mishra R, Mazumder A. Breast cancer and its therapeutic targets: A comprehensive review. Chem Biol Drug Des 2024;103(1):e14384 View Article PubMed/NCBI
  4. Garg P, Ramisetty S, Nair M, Kulkarni P, Horne D, Salgia R, et al. Strategic advancements in targeting the PI3K/AKT/mTOR pathway for Breast cancer therapy. Biochem Pharmacol 2025;236:116850 View Article PubMed/NCBI
  5. De SK. Fundamental of cancer detection; treatment; and prevention. Weinheim: Wiley; 2022, 151-191 View Article PubMed/NCBI
  6. Fruman DA, Rommel C. PI3K and cancer: lessons, challenges and opportunities. Nat Rev Drug Discov 2014;13(2):140-156 View Article PubMed/NCBI
  7. Samuels Y, Wang Z, Bardelli A, Silliman N, Ptak J, Szabo S, et al. High frequency of mutations of the PIK3CA gene in human cancers. Science 2004;304(5670):554 View Article PubMed/NCBI
  8. Peng R, Zhan Y, Li A, Lv Q, Xu S. Research progress and development strategy of PI3K inhibitors for breast cancer treatment: A review (2016-present). Bioorg Chem 2024;153:107934 View Article PubMed/NCBI
  9. Barile E, De SK, Carlson CB, Chen V, Knutzen C, Riel-Mehan M, et al. Design, synthesis, and structure-activity relationships of 3-ethynyl-1H-indazoles as inhibitors of the phosphatidylinositol 3-kinase signaling pathway. J Med Chem 2010;53(23):8368-8375 View Article PubMed/NCBI
  10. Jauslin WT, Schild M, Schaefer T, Borsari C, Orbegozo C, Bissegger L, et al. A high affinity pan-PI3K binding module supports selective targeted protein degradation of PI3Kα. Chem Sci 2024;15(2):683-691 View Article PubMed/NCBI
  11. Wang S, Liu C, Yang C, Jin Y, Cui Q, Wang D, et al. PI3K/AKT/mTOR and PD-1/CTLA-4/CD28 pathways as key targets of cancer immunotherapy (Review). Oncol Lett 2024;28(6):567 View Article PubMed/NCBI
  12. Song KW, Edgar KA, Hanan EJ, Hafner M, Oeh J, Merchant M, et al. RTK-Dependent Inducible Degradation of Mutant PI3Kα Drives GDC-0077 (Inavolisib) Efficacy. Cancer Discov 2022;12(1):204-219 View Article PubMed/NCBI
  13. Menteş M, Karakuzulu BB, Uçar GB, Yandım C. Comparative molecular dynamics analyses on PIK3CA hotspot mutations with PI3Kα specific inhibitors and ATP. Comput Biol Chem 2022;99:107726 View Article PubMed/NCBI
  14. Turner NC, Im SA, Saura C, Juric D, Loibl S, Kalinsky K, et al. Inavolisib-Based Therapy in PIK3CA-Mutated Advanced Breast Cancer. N Engl J Med 2024;391(17):1584-1596 View Article PubMed/NCBI
  15. Salphati L, Pang J, Plise EG, Cheong J, Braun MG, Friedman LS, et al. Preclinical assessment of the PI3Kα selective inhibitor inavolisib and prediction of its pharmacokinetics and efficacious dose in human. Xenobiotica 2024;54(10):808-820 View Article PubMed/NCBI
  16. Jhaveri KL, Accordino MK, Bedard PL, Cervantes A, Gambardella V, Hamilton E, et al. Phase I/Ib Trial of Inavolisib Plus Palbociclib and Endocrine Therapy for PIK3CA-Mutated, Hormone Receptor-Positive, Human Epidermal Growth Factor Receptor 2-Negative Advanced or Metastatic Breast Cancer. J Clin Oncol 2024;42(33):3947-3956 View Article PubMed/NCBI
  17. Dickler MN, Saura C, Richards DA, Krop IE, Cervantes A, Bedard PL, et al. Phase II Study of Taselisib (GDC-0032) in Combination with Fulvestrant in Patients with HER2-Negative, Hormone Receptor-Positive Advanced Breast Cancer. Clin Cancer Res 2018;24(18):4380-4387 View Article PubMed/NCBI
  18. Mayer IA, Abramson VG, Formisano L, Balko JM, Estrada MV, Sanders ME, et al. A Phase Ib Study of Alpelisib (BYL719), a PI3Kα-Specific Inhibitor, with Letrozole in ER+/HER2- Metastatic Breast Cancer. Clin Cancer Res 2017;23(1):26-34 View Article PubMed/NCBI
  19. Hanan EJ, Braun MG, Heald RA, MacLeod C, Chan C, Clausen S, et al. Discovery of GDC-0077 (Inavolisib), a Highly Selective Inhibitor and Degrader of Mutant PI3Kα. J Med Chem 2022;65(24):16589-16621 View Article PubMed/NCBI
  20. Cho S, Cheruzel L, Cai J, Wrigley SK, Gemmell RT, Kokubun T, et al. Discovery of Unprecedented Human Stercobilin Conjugates. Drug Metab Dispos 2024;52(9):981-987 View Article PubMed/NCBI
  21. Bedard PL, Jhaveri KL, Accordino MK, Cervantes PA, Gambardella V, Hamilton E, et al. Inavolisib plus letrozole or fulvestrant in PIK3CA-mutated, hormone receptor-positive, HER2-negative advanced or metastatic breast cancer (GO39374): An open-label, multicentre, dose-escalation and dose-expansion phase 1/1b study. Eur J Cancer 2025;221:115397 View Article PubMed/NCBI
  22. Gough SM, Flanagan JJ, Teh J, Andreoli M, Rousseau E, Pannone M, et al. Oral Estrogen Receptor PROTAC Vepdegestrant (ARV-471) Is Highly Efficacious as Monotherapy and in Combination with CDK4/6 or PI3K/mTOR Pathway Inhibitors in Preclinical ER+ Breast Cancer Models. Clin Cancer Res 2024;30(16):3549-3563 View Article PubMed/NCBI
  23. Vanhaesebroeck B, Burke JE, Madsen RR. Precision Targeting of Mutant PI3Kα in Cancer by Selective Degradation. Cancer Discov 2022;12(1):20-22 View Article PubMed/NCBI

About this Article

Cite this article
De SK. Inavolisib: A Selective Inhibitor of Mutant PI3Kα for the Treatment of Breast Cancer. Oncol Adv. 2025;3(3):e00012. doi: 10.14218/OnA.2025.00012.
Copy Export to RIS Export to EndNote
Article History
Received Revised Accepted Published
April 30, 2025 June 8, 2025 June 18, 2025 June 30, 2025
DOI http://dx.doi.org/10.14218/OnA.2025.00012