v
Search
Advanced

Publications > Journals > Gastroenterology & Hepatology Research> Article Full Text

  • OPEN ACCESS

Circular RNAs and Gut Barrier Integrity: Molecular Mechanisms and Translational Applications

  • Wanglei Yang1 and
  • Jiaqi Lou2,* 
 Author information 

Abstract

The intestinal barrier, a critical interface between the body and the external environment, is essential for maintaining internal homeostasis. Comprising mechanical, chemical, immune, and biological components, its dysfunction underpins multiple gastrointestinal pathologies. Circular RNAs (circRNAs), covalently closed non-coding RNAs, have emerged as central regulators of gut barrier homeostasis. This review synthesizes advances in circRNA roles in intestinal stem cell renewal, apoptosis-proliferation balance, microbiome interactions, and immune regulation. Key findings highlight circRNA networks operating via competitive endogenous RNA mechanisms, protein interactions, and translational potential to influence barrier function. We further discuss circRNAs as diagnostic biomarkers in inflammatory bowel disease and their therapeutic potential in barrier-related pathologies. Advances in RNA nanotechnology (e.g., lipid nanoparticles) and synthetic biology position engineered circRNAs as next-generation therapies for precision intervention in gastrointestinal disorders. Importantly, this review also critically examines the current limitations of these translational approaches, including delivery challenges, safety considerations, and the preliminary nature of many preclinical findings, providing a balanced perspective on the path from bench to bedside.

Keywords

Circular RNA, Intestinal barrier, Inflammation, Microbiome, Inflammatory bowel disease, IBD, Therapeutics, Biomarkers

Introduction

The intestinal epithelium is a vital component of the gastrointestinal tract, serving as a barrier between the external environment and the body’s internal systems. It is constantly renewed every three to five days, and this process is crucial for maintaining gut homeostasis and health.1 Lgr5+ intestinal stem cells (ISCs) play a pivotal role in this renewal process by balancing proliferation and differentiation.2 This dynamic equilibrium ensures the proper functioning of the intestinal epithelium and the overall gut barrier. However, barrier dysfunction can occur due to various factors such as dysregulated tight junctions, microbial dysbiosis, or immune hyperactivation. These disruptions are implicated in several serious conditions, including inflammatory bowel disease (IBD), colorectal cancer, and sepsis.2,3 When the intestinal barrier is compromised, it can lead to increased intestinal permeability, allowing harmful substances and pathogens to enter the bloodstream, which can trigger immune responses and contribute to the development and progression of these diseases.4

Circular RNAs (circRNAs) have emerged as important players in regulating gene expression and cellular functions.5 They are generated through a unique mechanism called backsplicing, where the 3′ end of a downstream exon is joined to the 5′ end of an upstream exon.6 This distinctive structure makes circRNAs highly stable, as they are resistant to degradation by RNA exonucleases.3 Based on their origin, circRNAs can be classified into three main types: exonic circRNAs, circular intronic RNAs, and exon-intron circRNAs.4

circRNAs exert their regulatory effects through multiple mechanisms.7,8 One of the well-known functions is acting as microRNA (miRNA) sponges. For example, circZNF609 has been shown to sequester miR-134-5p, thereby sustaining Wnt signaling.1 This interaction can influence various cellular processes, including cell proliferation and differentiation. Another mechanism involves interacting with RNA-binding proteins (RBPs). circPABPN1, for instance, can bind to HuR and modulate autophagy.4 Autophagy is a crucial cellular process for maintaining intracellular homeostasis, and its dysregulation has been linked to various diseases. Additionally, some circRNAs possess translational capacity. CircMAPK1 can encode peptides that inhibit the MAPK pathway.5 The MAPK pathway is involved in regulating cell growth, differentiation, and apoptosis, making circMAPK1 a potential regulator of these processes.

Recent research has highlighted circRNAs as critical nodes in epithelial regeneration,6 microbial crosstalk,7 and immune tolerance.9,10 In the context of the intestinal epithelium, circRNAs may play a role in promoting epithelial cell renewal and repair following damage (Fig. 1).6 They may also interact with gut microbiota, influencing microbial composition and function and, in turn, be affected by microbial metabolites.7 Furthermore, circRNAs can modulate immune responses, helping to maintain immune tolerance and prevent excessive inflammation.11,12 These diverse functions position circRNAs as promising diagnostic and therapeutic targets for various intestinal disorders.13–15 By understanding the specific roles and mechanisms of circRNAs in the gut, researchers and clinicians can develop novel strategies for detecting, preventing, and treating conditions related to intestinal barrier dysfunction.

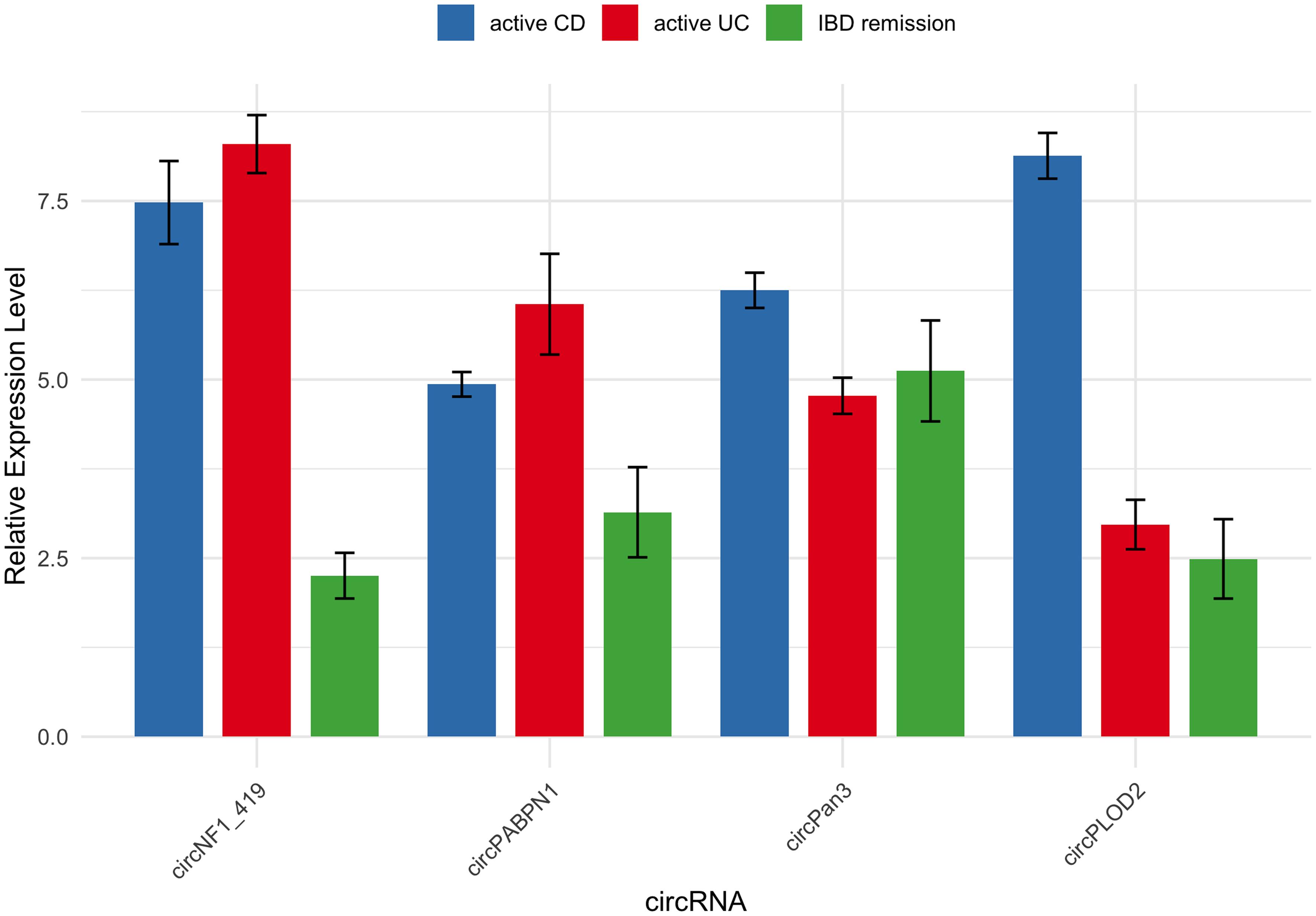
Disease-associated circRNA expression patterns in intestinal health and disease.
Fig. 1  Disease-associated circRNA expression patterns in intestinal health and disease.

Bar plot showing the relative expression levels of four key circular RNAs (circNF1-419, circPABPN1, circPan3, circPLOD2) across three clinical conditions: active ulcerative colitis (active UC), active Crohn’s disease (active CD), and IBD remission. Data are presented as mean ± SD (n = 5 per group). circRNA expression was normalized to internal controls. The plot illustrates that circRNAs can serve as dynamic biomarkers reflecting disease activity and gut barrier function. CD, Crohn’s disease; circRNA, circular RNA; IBD, inflammatory bowel disease; SD, standard deviation; UC, ulcerative colitis.

circRNAs in ISC renewal and differentiation

circRNAs have emerged as pivotal regulators in the renewal and differentiation of ISCs, which are essential for maintaining the dynamic equilibrium of the intestinal epithelium.16 This section delves deeper into the dual roles of circRNAs in modulating ISC functions through both positive and negative regulatory mechanisms.

circPan3: Positive regulation via the interleukin-13 (IL)-13/signal transducer and activator of transcription 6 (STAT6)/β-catenin axis

circPan3 is specifically enriched in Lgr5+ ISCs, a population of stem cells critical for the regeneration and homeostasis of the intestinal epithelium.17 circPan3 exerts its positive regulatory effects by stabilizing the IL13ra1 messenger (mRNA). It achieves this by binding to the 3′ UTR of IL13ra1 mRNA and competing with the decay-promoting RBP KSRP.17 This competition prevents the degradation of IL13ra1 mRNA, thereby enhancing the expression of IL-13Rα1.17 The elevated levels of IL-13Rα1 enable intestinal cells to respond more effectively to IL-13, a cytokine predominantly secreted by type 2 innate lymphoid cells (ILC2s).18 These cells play a crucial role in immune responses and tissue repair.

Upon binding to IL-13Rα1, IL-13 triggers the phosphorylation of STAT6.17 Phosphorylated STAT6 then translocates to the nucleus, where it upregulates the expression of FoxP1.17 FoxP1, in turn, stabilizes β-catenin, a key component of the Wnt signaling pathway.17 The Wnt pathway is a master regulator of ISC self-renewal and intestinal epithelial cell proliferation.1 By amplifying Wnt signaling, circPan3 promotes the self-renewal and proliferation of ISCs, ensuring the proper turnover and repair of the intestinal epithelium.17

Research has shown that circPan3 knockout mice exhibit a significant reduction in the number of ISCs, shortened intestinal villi, and impaired injury repair capabilities.17 This finding underscores the critical role of circPan3 in maintaining ISC homeostasis and epithelial integrity.17 It also highlights the potential of circPan3 as a therapeutic target for conditions characterized by intestinal epithelial damage and impaired repair, such as IBD and ischemic injury.17

circBtnl1: Negative regulation via the ATF4/SOX9 pathway

circBtnl1, on the other hand, is expressed in crypt-base ISCs and plays a negative regulatory role in ISC self-renewal.19 It achieves this by binding to Atf4 mRNA and disrupting the interaction between Atf4 mRNA and the RNA helicase DDX3Y.19 This disruption leads to the destabilization of Atf4 transcripts, subsequently reducing the transcription of SOX9 mediated by ATF4.19 SOX9 is a transcription factor crucial for maintaining ISC identity and promoting ISC self-renewal.20

A study has demonstrated that the deletion of circBtnl1 results in an expansion of crypts and ISCs without affecting the expression of the parental Btnl1 gene.19 This confirms that circBtnl1 functions in a cis-independent manner, meaning its regulatory effects are not confined to the genomic locus from which it is derived.19 By reducing ATF4/SOX9 signaling, circBtnl1 helps to balance ISC self-renewal and differentiation, preventing excessive stem cell proliferation that could potentially lead to tumorigenesis.19 Further research has revealed that circBtnl1 deficiency facilitates the binding of ATF4 to the Sox9 promoter, thereby enhancing Sox9 transcription.19 This finding solidifies the role of circBtnl1 in modulating ISC self-renewal and suggests that the interplay between circBtnl1, ATF4, and SOX9 is crucial for maintaining ISC homeostasis.19

circLgr4: Positive regulation of ISC proliferation

circLgr4, another important circRNA in ISC biology, functions by sponging miR-134-5p.1 It binds to miR-134-5p, thereby alleviating the post-transcriptional repression of LGR4.1 LGR4 is a key regulator of ISC proliferation and differentiation.21 By derepressing LGR4, circLgr4 promotes the proliferation of ISCs.1 This mechanism is essential for maintaining intestinal epithelial homeostasis and ensuring efficient tissue repair following injury.1 Recent studies have shown that circLgr4 overexpression enhances ISC proliferation and accelerates intestinal regeneration in mouse models of colitis.2 This makes circLgr4 a potential therapeutic target for promoting intestinal repair in conditions such as IBD.1,2

circVAPA: Positive regulation of Paneth cell differentiation

circVAPA plays a role in the differentiation of Paneth cells, which are specialized intestinal epithelial cells responsible for producing antimicrobial peptides.22 circVAPA achieves this by sponging miR-876-5p, thereby relieving the repression of Wnt3a.22 Wnt3a is a critical factor in the Wnt signaling pathway, which is essential for Paneth cell differentiation.23 By upregulating Wnt3a expression, circVAPA promotes the differentiation of Paneth cells.22 This function is crucial for maintaining intestinal homeostasis, as Paneth cells contribute to the defense against pathogens and the regulation of the gut microbiota.24 Research indicates that circVAPA deficiency leads to impaired Paneth cell differentiation and reduced antimicrobial peptide production.22 This suggests that circVAPA could be targeted to enhance Paneth cell function and improve intestinal barrier integrity in conditions such as IBD and infections.22

In summary, the intricate regulatory networks involving circPan3, circBtnl1, circLgr4, and circVAPA illustrate the complexity of circRNA functions in ISC biology (Table 1).1,2,6,16,19,22 These circRNAs not only modulate key signaling pathways but also interact with various molecular components to fine-tune ISC behavior.16 Understanding these mechanisms provides valuable insights into the molecular basis of intestinal homeostasis and disease pathogenesis.25 It also paves the way for the development of novel therapeutic strategies targeting circRNAs to treat intestinal disorders,15,25 offering hope for improved outcomes in patients suffering from conditions such as IBD, colorectal cancer, and intestinal injury (Fig. 2).24,25

Table 1

circRNA networks in ISC dynamics

circRNATargetMechanismFunctional outcome
circPan3IL-13Rα1 mRNAStabilizes mRNA via KSRP competition↑ Wnt signaling, ↑ renewal1
circBtnl1Atf4 mRNADisrupts DDX3Y binding, promotes decay↓ SOX9, ↓ renewal6
circLgr4miR-134-5pSponges miRNA to derepress LGR4↑ proliferation2
circVAPAWnt3aSponges miR-876-5p↑ Paneth differentiation2
Spatiotemporal distribution of circPan3 along the intestinal tract.
Fig. 2  Spatiotemporal distribution of circPan3 along the intestinal tract.

Heatmap depicting the relative expression levels of circPan3 in different intestinal segments (duodenum, jejunum, ileum, colon, rectum) and tissue layers (epithelium, lamina propria, muscularis). Color intensity represents expression level, ranging from low (light blue) to high (dark red). The data reveal a dynamic expression pattern of circPan3, with the highest enrichment in the colonic epithelium, suggesting its functional relevance in intestinal homeostasis and disease. circPan3, circular RNA Pan3.

Emerging mechanisms of circRNAs in regulating stem cell differentiation

Research into circRNAs has extended beyond classical miRNA sponging, revealing their capacity to fine-tune ISC fate decisions through diverse and sophisticated mechanisms.26 These emerging paradigms highlight circRNAs as integral components of the regulatory networks governing intestinal epithelial development and homeostasis.

A key mechanism involves the direct regulation of cell lineage specification. For instance, circRNA_0000338, identified in pig milk exosomes, promotes the differentiation of intestinal epithelial cells into goblet cells.27 It functions by sponging miR-182-5p, thereby derepressing the transcription factor KLF4, which is pivotal for goblet cell differentiation and mucus secretion.27,28 This enhancement of the mucus barrier is crucial for defense and homeostasis.29 Similarly, circVAPA directs ISC differentiation towards the Paneth cell lineage via the miR-876-5p/Wnt3a axis.22 By sponging miR-876-5p, circVAPA upregulates Wnt3a, a critical driver of Paneth cell maturation,23 thereby fostering the production of antimicrobial peptides essential for crypt microenvironment stability and host defense.22,24

Simultaneously, circRNAs exert precise control over the balance between ISC self-renewal and proliferation. The well-characterized circLgr4 promotes ISC proliferation by sequestering miR-134-5p, which alleviates post-transcriptional repression of its target LGR4, a key regulator of ISC activity.1,21 This mechanism is vital for maintaining epithelial turnover and facilitating repair after injury.1,2 Conversely, circBtnl1 negatively modulates ISC self-renewal by interacting with RBPs to destabilize Atf4 mRNA, leading to reduced SOX9 transcription.19,30 This interplay helps prevent excessive stem cell expansion.19

Furthermore, pioneering studies hint at even more complex layers of circRNA-mediated regulation. Some circRNAs, such as circSox9, may influence differentiation by directly binding and stabilizing key transcription factors.31 Others, like circZscan4, are implicated in promoting enterocyte differentiation, potentially through miRNA-dependent mechanisms.31 There is also emerging evidence that circRNAs can participate in epigenetic modulation, as suggested by studies on circKmt2d and its potential interaction with chromatin remodeling complexes.32,33 While these findings require further validation in intestinal contexts, they underscore the expansive regulatory potential of circRNAs.26,33,34

In summary, the evolving landscape of circRNA biology in ISCs encompasses direct lineage specification, balanced proliferation control, and potential epigenetic influence. This functional versatility solidifies their role as master regulators and presents a rich reservoir of potential therapeutic targets for restoring intestinal homeostasis in disease.15,25,34

circRNA-microbiome crosstalk in barrier regulation

The intestinal barrier functions within a dynamic ecosystem shaped by continuous dialogue between host cells and the gut microbiota. circRNAs have emerged as critical molecular mediators of this bidirectional communication, forming an intricate regulatory network essential for maintaining homeostasis.35 This crosstalk encompasses microbial regulation of host circRNA expression and reciprocal modulation of the microbial community by circRNAs, as illustrated in the comprehensive interaction networks (Figs. 35).

Mechanistic network of <italic>F. nucleatum</italic>-induced barrier disruption via circPLOD2.
Fig. 3  Mechanistic network of F. nucleatum-induced barrier disruption via circPLOD2.

Schematic representation of the molecular interactions through which F. nucleatum upregulates circPLOD2. circPLOD2 acts as a sponge for miR-513c, relieving the inhibition of ANXA2. Upregulated ANXA2 promotes glycolysis and disrupts tight junctions, culminating in intestinal inflammation. Nodes represent molecular entities or processes, and edges indicate regulatory relationships (arrowheads denote direction of effect). Colors categorize node types: microbe (teal), circRNA (light yellow), miRNA (lavender), protein (salmon), process (light blue), barrier component (orange), and outcome (light green). ANXA2, annexin A2; circPLOD2, circular RNA PLOD2; circRNA, circular RNA; miR-513c, microRNA-513c; miRNA, microRNA.

Integrated circRNA–microbiome–gut barrier interaction network.
Fig. 4  Integrated circRNA–microbiome–gut barrier interaction network.

A network diagram illustrating the hierarchical and bidirectional relationships among gut microbiota components (Firmicutes, Bacteroidetes, LPS, SCFAs), key circRNAs (circPan3, circPLOD2, circNF1-419), signaling pathways (TLR4, Wnt, STAT6, NFκB), barrier components (tight junctions, MUC2, antimicrobial peptides), and clinical outcomes (barrier integrity, IBD, CRC, sepsis). Nodes are colored by type and sized according to degree (connectivity). Edges represent regulatory interactions, with arrows indicating direction of regulation. This network encapsulates the complex crosstalk linking circRNAs, microbiota, and intestinal barrier function. AMPs, antimicrobial peptides; circRNA, circular RNA; CRC, colorectal cancer; IBD, inflammatory bowel disease; LPS, lipopolysaccharide; MUC2, mucin 2; NFκB, nuclear factor kappa-light-chain-enhancer of activated B cells; SCFAs, short-chain fatty acids; STAT6, signal transducer and activator of transcription 6; TLR4, Toll-like receptor 4.

Multi-level circRNA–microbiome–gut barrier regulatory network.
Fig. 5  Multi-level circRNA–microbiome–gut barrier regulatory network.

Detailed network depicting multi-tiered interactions spanning microbial components (bacteria, fungi, LPS, SCFAs, tryptophan, β-glucans), circRNA biogenesis-related factors, key circRNAs (circPan3, circPLOD2, circNF1-419, circPABPN1), signaling pathways (TLR4, Dectin1, RIG-I, IL13Rα1, JAK1, STAT6, Wnt, β-catenin, NFκB), intestinal barrier elements (tight junctions, claudin-8, MUC2, antimicrobial peptides, ILC2s), and functional outcomes (barrier integrity, IBD, CRC). Nodes are color-coded by category and scaled by degree. Edges denote regulatory interactions, including activation, inhibition, sponging, and metabolic conversion. The network highlights the complex interplay between the gut microbiome, circRNAs, and host barrier homeostasis. AMPs, antimicrobial peptides; circRNA, circular RNA; CRC, colorectal cancer; Dectin1, dendritic cell-associated C-type lectin-1; IBD, inflammatory bowel disease; IL13Rα1, interleukin-13 receptor subunit alpha-1; ILC2s, group 2 innate lymphoid cells; JAK1, Janus kinase 1; LPS, lipopolysaccharide; MUC2, mucin 2; NFκB, nuclear factor kappa-light-chain-enhancer of activated B cells; RIG-I, retinoic acid-inducible gene I; SCFAs, short-chain fatty acids; STAT6, signal transducer and activator of transcription 6; TLR4, Toll-like receptor 4.

Microbial modulation of circRNA expression

The gut microbiota profoundly influences the host’s circRNA landscape. Comparative studies in germ-free and specific pathogen-free mice have identified hundreds of differentially expressed circRNAs, underscoring the microbiota’s role in shaping the host circRNA profile.36 Among these, circNF1-419, implicated in regulating the IL-11/SOX9 axis, is suppressed in germ-free mice, suggesting microbial contributions to a permissive environment for certain pathologies.36 Specific pathogens can also directly reprogram circRNA expression. For instance, infection with Fusobacterium nucleatum upregulates circPLOD2, which drives pro-inflammatory metabolic reprogramming via the miR-513c/ANXA2 axis, leading to tight junction disruption and barrier compromise (a key mechanism summarized in Fig. 3).37 Beyond pathogens, beneficial microbes exert regulatory effects. The probiotic Lactobacillus plantarum enhances the expression of barrier proteins (e.g., MUC2, CLDN1) and modulates the endocannabinoid (eCBome) system, a mechanism associated with improved barrier function and circRNA expression changes.38 These microbiota-sensitive circRNAs can regulate key epithelial cell processes, such as apoptosis and proliferation, detailed in Table 2.

Table 2

Key circRNAs regulating apoptosis and proliferation of intestinal epithelial cells

circRNAExpression changesMechanismTargetFunctional impactRelated diseases
circWBSCR22UpregulationInhibition of UPF1 mediated degradation of CHD4CHD4Promoting proliferation and metastasisColorectal cancer
circZNF609DownregulationUpregulate Bax/p53Bax/p53Promoting apoptosisColorectal cancer
circ-PrkCcUpregulationSponge miR-339-5pp66ShcInhibiting oxidative stressIntestinal ischemia reperfusion
circ-SOD2UpregulationReduce CLDN-8 expressionCLDN-8Disrupting the tight connections between cellsUlcerative colitis
circRNA_0001105DownregulationInhibit YAP1YAP1Protective barrier functionSepsis-induced intestinal injury

The dynamic balance between gut microbiota and the host is a key factor in maintaining intestinal barrier function.39 As novel regulatory molecules, circRNAs play an important role in host–microbe interactions, forming a complex signaling dialogue network crucial for intestinal homeostasis and health.40 The gut microbiota influences the host circRNA expression profile through multiple pathways, creating an intricate regulatory landscape that affects various aspects of host physiology.36 For example, circNF1-419 affects cancer progression and metastasis by regulating the IL-11/circRNA/miRNA/SOX9 axis.7 Further research is needed to elucidate the precise mechanisms through which circNF1-419 interacts with the IL-11/SOX9 axis and to explore its potential as a therapeutic target in cancer treatment.41 In clinical studies involving burn patients, Pseudomonas aeruginosa infection was found to induce reprogramming of circRNA expression profiles in wound tissues.42 These changes in circRNA expression were closely related to intestinal barrier damage, indicating that microbial infections can affect intestinal circRNA expression through remote signaling.43 This remote signaling mechanism suggests that infections at one site can have systemic effects on gut homeostasis, potentially contributing to the development of systemic inflammatory responses and multi-organ dysfunction.44 Probiotics have also been shown to significantly regulate host circRNA expression, offering a promising avenue for modulating host–microbe interactions.45

circRNA feedback on microbial ecology

Conversely, host circRNAs can shape the composition and function of the gut microbiota, creating a bidirectional regulatory loop essential for maintaining intestinal homeostasis.46 In Alzheimer’s disease models, overexpression of circNF1-419 in the brain was found to alter the composition of the mouse gut microbiota, particularly affecting the relative abundance of Firmicutes and Trichomonas.47 This circRNA-mediated communication between the brain and gut reveals a novel mechanism linking neural circRNAs to gut dysbiosis in neurological diseases.48 The exact mechanisms through which circNF1-419 influences gut microbiota composition are still under investigation, but this finding opens new avenues for exploring the gut–brain axis in neurodegenerative diseases.48 The interaction between microbiota and circRNAs extends to the metabolic level, with significant implications for intestinal barrier function and disease pathogenesis. Recent studies have shown that infection with F. nucleatum can induce circPLOD2 expression.49 circPLOD2 promotes glycolysis reprogramming through the miR-513c/ANXA2 axis, creating a pro-inflammatory microenvironment that disrupts intestinal barrier integrity. This metabolic immune cross-talk mechanism is particularly prominent in the occurrence and development of IBD-related colorectal cancer.50 By inducing circPLOD2 expression, F. nucleatum not only alters the metabolic landscape of the gut but also exacerbates inflammation and promotes carcinogenesis.51 This highlights the critical role of the circRNA–microbiota axis in the pathogenesis of gastrointestinal diseases and suggests that targeting this axis could be an effective therapeutic strategy for conditions such as IBD and colorectal cancer.52

These studies collectively reveal the central position of the circRNA–microbiota axis in intestinal barrier homeostasis.53 The microbiota affects barrier function by regulating host circRNA expression, which in turn modulates microbial composition by altering the intestinal microenvironment and immune status through feedback mechanisms.54

The regulatory mechanism of circRNA in inflammation and immunity

Intestinal immune homeostasis is fundamental for maintaining barrier function, and circRNA plays a key role in the intestinal inflammatory response by regulating the differentiation of various immune cells and the secretion of inflammatory factors. In recent years, research has particularly focused on the mechanism of circRNA in macrophage polarization and IBD.

circRNA mediated macrophage polarization and intestinal barrier damage

Macrophages, as the main effector cells of the intestinal immune barrier, have a direct impact on intestinal barrier function due to their M1/M2 polarization balance. circRNAs can drive this polarization through metabolic reprogramming. For instance, circ_0000554 has been shown to act as a sponge for miR-548b-3p, which leads to upregulation of SLC2A3 and enhanced glycolysis, thereby providing energy support for M2 polarization and subsequent barrier dysfunction.55

Similarly, in the IBD environment, circPABPN1 inhibits the autophagy process by binding to the RBP HuR and suppressing its binding to the autophagy-related gene ATG16L1 mRNA,56 leading to intestinal mucosal immune disorders. Autophagy defects prevent epithelial cells from effectively clearing invading pathogens, exacerbating inflammatory reactions and forming a vicious cycle.

The functional network of IBD-related circRNAs

In ulcerative colitis (UC) and Crohn’s disease (CD), multiple circRNAs form a complex regulatory network. Some scholars have found that the level of hsa_circ_0004104 in the plasma of active UC patients is significantly increased (median 19.21 vs. control group 1.17),57 and is strongly positively correlated with JAK2 levels (P < 0.001). This circRNA participates in the process of intestinal inflammation and barrier damage in UC by activating the JAK/STAT pathway. It is worth noting that the AUC of hsa_circ_0004104 in distinguishing between active and remission phases is 0.889 (sensitivity 96%), which is better than JAK2 (AUC 0.789), indicating its potential as a non-invasive diagnostic biomarker.57

In the pathogenesis of CD, circRNA_103765 plays a key role as a pro-inflammatory factor.58 This circRNA is significantly upregulated in peripheral blood mononuclear cells of CD patients and, through sponging miR-30a-5p, the inhibition of DLL4 is released, thereby promoting cell apoptosis and inhibiting proliferation. Clinical observations have found that treatment with an anti-TNF-α monoclonal antibody can significantly reverse the expression of circRNA_103765, suggesting that it can be used as a therapeutic response monitoring indicator (Table 3).56–59

Table 3

Functions and clinical significance of key circRNAs in IBD

circRNADisease associationExpression changesControl axisClinical significanceReferences
hsa_circ_0004104UCSignificantly increasedJAK/STATDiagnostic markers (AUC=0.889)57
circRNA_103765CDSignificantly increasedmiR-30a-5p/DLL4Treatment response monitoring58
hsa_circRNA_102610CDSignificantly increasedmiR-130a-3p/SMAD4Fibrosis promoting targets59
circHECTD1UCReducedmiR-182-5p/HuRPromote autophagy56
circ_000187UCIncreasedmiR-1236-3p/MYD88Inflammation amplifier58

circRNA regulated immune signaling pathways

circRNA regulates the intestinal immune response through various molecular mechanisms. Firstly, as a miRNA sponge, circRNA relieves miRNA inhibition of immune-related genes.60 For example, circ_000187 promotes UC progression through the miR-1236-3p/MYD88 axis. By sponging miR-1236-3p, circ_000187 upregulates MYD88 expression,60 which is a critical adaptor protein in the Toll-like receptor signaling pathway. This leads to enhanced Toll-like receptor-mediated immune responses, increased production of pro-inflammatory cytokines, and exacerbated intestinal inflammation.60

Secondly, circRNA can directly bind to immune signaling molecules. circPan3, for instance, stabilizes IL-13Rα1 mRNA and enhances ILC2–ISC dialogue. This interaction is crucial for promoting intestinal epithelial cell regeneration and repair following damage.61 By stabilizing IL-13Rα1 mRNA, circPan3 enhances the responsiveness of intestinal cells to IL-13, a cytokine secreted by ILC2s. This, in turn, activates downstream signaling pathways such as STAT6, which promote epithelial cell proliferation and barrier function recovery.61

In addition, recent studies have found that certain circRNAs have coding potential. CircMAPK1, for example, can translate and produce peptides that inhibit the MAPK signaling pathway, thereby alleviating intestinal inflammation.59 The MAPK pathway is a key regulator of immune responses and inflammation. By producing inhibitory peptides, CircMAPK1 modulates the activity of this pathway, reducing the production of pro-inflammatory cytokines and mitigating intestinal inflammatory responses.59 This novel mechanism highlights the versatility of circRNAs as both non-coding and coding molecules in immune regulation.

It is worth noting that circRNA also participates in regulating the gut microbiota–immune axis. In the DSS-induced colitis model, circITCH regulates the activation of the NLRP3 inflammasome,62 affects the mature secretion of IL-1β and IL-18, and alters the composition of gut microbiota, particularly increasing the abundance of Akkermansia. This microbiota change is significantly correlated with improved intestinal barrier function. circITCH achieves this by fine-tuning the balance of immune responses.62 By regulating the NLRP3 inflammasome, circITCH modulates the production of pro-inflammatory cytokines IL-1β and IL-18, which play key roles in driving intestinal inflammation. Simultaneously, the increase in Akkermansia, a bacterium known for its beneficial effects on gut barrier integrity, further contributes to the restoration of intestinal homeostasis.62 This dual regulatory mechanism underscores the critical role of circRNA in linking immune responses with gut microbiota composition and function.

In summary, circRNAs play multifaceted roles in regulating inflammation and immunity in the intestine through diverse mechanisms, including macrophage polarization, T cell subset modulation, dendritic cell function, innate immune responses, and immune metabolism. These findings highlight the potential of circRNAs as diagnostic biomarkers and therapeutic targets in IBD and other inflammatory disorders. Further exploration of circRNA functions and their interactions with immune cells will undoubtedly uncover new strategies for maintaining intestinal immune homeostasis and treating immune-related diseases.

Prospects for therapeutic applications and clinical translation

With the in-depth analysis of the biological functions of circRNA, its potential as a therapeutic target and a novel therapy for translational applications is becoming increasingly clear. Especially in the field of intestinal barrier-related diseases, circRNA-targeted therapy strategies have shown great potential.

circRNA targeted therapy strategy

Based on the core regulatory role of circRNA in the intestinal barrier, multiple targeting strategies are being developed. Firstly, siRNA/shRNA silencing of pathogenic circRNA is a promising approach. In a metastatic colorectal cancer model, siRNA targeting circWBSCR22, delivered through lipid nanoparticles (LNPs), has been shown to significantly inhibit tumor liver metastasis. Similarly, in DSS-induced mouse colitis models, silencing circ_000187 can alleviate intestinal inflammation and barrier damage.63 This strategy directly targets harmful circRNAs, reducing their detrimental effects on intestinal homeostasis.

Secondly, engineered circRNA replacement therapy is also advancing rapidly. For example, circRNA-IL-23 developed by Gisai Biotech, when delivered through LNPs and combined with the STING agonist MSA-2-Pt, significantly enhances anti-tumor effects in melanoma models.64 This strategy can also be applied to intestinal inflammatory diseases by expressing anti-inflammatory cytokines such as IL-10 to repair the intestinal barrier.64

Thirdly, research on circRNA aptamers is gaining traction. The ds-cRNA aptamer developed by Chen Lingling’s team effectively alleviates neuroinflammation in Alzheimer’s disease models by targeting and inhibiting PKR abnormal activation.65 This technology can be applied to the treatment of IBD, as PKR is also abnormally activated in intestinal inflammation. The team utilized ds-cRNA with a 16–26 bp imperfect RNA double-stranded structure to inhibit PKR overactivation, achieving a therapeutic effect lasting up to 6 months in an Alzheimer’s disease mouse model after adeno-associated virus delivery.65 This offers a new approach for managing chronic intestinal inflammation.

Applications in diagnosis and prognostic evaluation

The stability and tissue specificity of circRNA make it an ideal biomarker for diagnosis and prognosis. In the field of IBD, multi-circRNA combination diagnostic models have demonstrated excellent performance. For instance, the combination of hsa_circ_0004104 and JAK2 can improve the diagnostic accuracy of active UC. Meanwhile, circRNA_103516 combined with fecal calprotectin is used for CD activity assessment and treatment response monitoring.66 Additionally, circPan3 has been identified as a potential biomarker for intestinal epithelial regeneration ability, predicting the response of IBD patients to stem cell therapy.67

In 2025, groundbreaking research established a non-invasive diagnostic model for IBD based on extracellular vesicle circRNA. This model integrates three biomarkers: circRNA_102610, circRNA_103516, and circPABPN1. It achieves a diagnostic accuracy of 93.7% for IBD activity, significantly outperforming traditional biomarkers.68

Clinical translational challenges and coping strategies

Despite its broad prospects, the clinical translation of circRNA therapy still faces multiple challenges. Firstly, the optimization of delivery systems is crucial. While LNPs remain the mainstream choice for circRNA delivery, they exhibit significant hepatotropism. To address this, new LNP formulations, such as LNP36, have been developed. By adding cationic components, LNP36 significantly improves targeting of intestinal tissue.69 Additionally, oral nanoparticles based on chitosan offer a promising alternative. These nanoparticles can protect circRNA from degradation by digestive enzymes and achieve colon-specific release.69 Secondly, balancing stability and immunogenicity is a key consideration. The DIS3 degradation mechanism discovered by Chen Lingling’s team provides a theoretical basis for designing stable and controllable circRNAs.70 Research has shown that the endonuclease DIS3 degrades circRNA by recognizing U-rich motifs. By reducing the U-rich elements, the half-life of circRNA can be prolonged.70 Furthermore, optimizing the cyclization site can minimize immunogenicity and prevent activation of the RLR pathway.70 Finally, large-scale production is another important challenge. circPrecise, developed by Jisai Biotechnology, has achieved in vitro synthesis of circRNA with a purity of over 90% through advanced cyclization technology.71 The circularization strategy based on type I intron self-splicing is particularly noteworthy, as it does not require the insertion of exogenous sequences (Table 4).71

Table 4

Development progress of circRNA targeted therapy in intestinal barrier related diseases

Therapeutic approachRepresentative moleculeTargeted diseasesDelivery systemDevelopment phaseMain challenges
SiRNA silencinganti-circWBSCR22Metastatic colorectal cancerLNPPreclinicalTumor heterogeneity
Engineering circRNAcircRNA-IL-10IBDChitosan nanoparticlesPreclinicalInsufficient expression level
circRNA aptamerds-cRNA-PKRIntestinal inflammationAAVPreclinicalImmunogenicity
Replacement therapycircPan3 mRNAIntestinal epithelial injuryExosomesProof-of-conceptHigh production cost

Future directions and considerations

Looking ahead, several directions and considerations are essential for the successful clinical translation of circRNA therapies: (1) Personalized medicine: Given the heterogeneity of diseases and individual responses, developing personalized circRNA therapies based on patient-specific profiles will be crucial; (2) Combination therapies: Exploring combination therapies that integrate circRNA-based approaches with existing treatments could enhance therapeutic efficacy; (3) Long-term safety and efficacy: Rigorous long-term studies are needed to evaluate safety and efficacy; (4) Regulatory and ethical considerations: Navigating the regulatory landscape for novel therapeutic modalities will be critical; (5) Public awareness and education: Raising awareness among healthcare professionals and the general public will help build support.72

In summary, the field of circRNA therapeutics holds immense promise for revolutionizing the treatment of intestinal barrier-related diseases. By addressing challenges associated with delivery systems, stability, immunogenicity, and large-scale production,69–71 and by exploring innovative strategies,63–65,72 we can accelerate the clinical translation of circRNA-based approaches.

However, gaps remain in our understanding of circRNA’s role in this field. Future research should focus on mapping circRNA–tight junction interactions, exploring microbial metabolite regulation of circRNA expression, and investigating circRNA’s spatiotemporal expression patterns. In terms of translational applications, circRNA therapy faces challenges in delivery efficiency, large-scale production, and safety evaluation. The development of new LNP delivery systems and the study of DIS3-mediated degradation mechanisms are providing solutions to these challenges. With the progress of synthetic biology technology, circRNA is expected to become a new diagnostic biomarker and therapeutic tool for intestinal barrier-related diseases, offering new strategies for improving intestinal health.

Conclusions

This article reviews the multidimensional mechanisms of circRNA in maintaining intestinal barrier integrity, highlighting breakthroughs from the past three years. Research has expanded beyond the competitive endogenous mechanism to include translation function, metabolic reprogramming, and degradation regulation, offering new insights into the molecular basis of intestinal barrier dysfunction.

Declarations

Acknowledgement

Not applicable.

Funding

No funding was received for this study.

Conflict of interest

The authors declare that they have no competing interests.

Authors’ contributions

Study design and conceptualization (WLY, JQL), record retrieval and data extraction (WLY), and manuscript drafting (WLY, JQL). Both authors have read and agreed to the published version of the manuscript.

References

  1. Alsa’d AA, Al-Hasnaawei S, Renuka Jyothi S, Nayak PP, Bethanney Janney J, Arora V, et al. From code to cancer: CircRNAs and lncRNAs regulate kinesin functions in tumorigenesis. Exp Cell Res 2026;457(2):114954 View Article PubMed/NCBI
  2. Innocenti T, Bigagli E, Lynch EN, Galli A, Dragoni G. MiRNA-Based Therapies for the Treatment of Inflammatory Bowel Disease: What Are We Still Missing?. Inflamm Bowel Dis 2023;29(2):308-323 View Article PubMed/NCBI
  3. Pamudurti NR, Bartok O, Jens M, Ashwal-Fluss R, Stottmeister C, Ruhe L, et al. Translation of CircRNAs. Mol Cell 2017;66(1):9-21.e7 View Article PubMed/NCBI
  4. Abdelmohsen K, Panda AC, Munk R, Grammatikakis I, Dudekula DB, De S, et al. Identification of HuR target circular RNAs uncovers suppression of PABPN1 translation by CircPABPN1. RNA Biol 2017;14(3):361-369 View Article PubMed/NCBI
  5. Jiang T, Xia Y, Lv J, Li B, Li Y, Wang S, et al. A novel protein encoded by circMAPK1 inhibits progression of gastric cancer by suppressing activation of MAPK signaling. Mol Cancer 2021;20(1):66 View Article PubMed/NCBI
  6. Chung HK, Xiao L, Han N, Chen J, Yao V, Cairns CM, et al. Circular RNA Cdr1as inhibits proliferation and delays injury-induced regeneration of the intestinal epithelium. JCI Insight 2024;9(4):e169716 View Article PubMed/NCBI
  7. Zhang L, Li X, Gao H, Chang W, Li P. Gut microbiota-lncRNA/circRNA crosstalk: implications for different diseases. Crit Rev Microbiol 2025;51(3):499-513 View Article PubMed/NCBI
  8. Smith NR, Giske NR, Sengupta SK, Conley P, Swain JR, Nair A, et al. Dual states of murine Bmi1-expressing intestinal stem cells drive epithelial development utilizing non-canonical Wnt signaling. Dev Cell 2025;60(16):2177-2191.e5 View Article PubMed/NCBI
  9. Guyton K, Alverdy JC. The gut microbiota and gastrointestinal surgery. Nat Rev Gastroenterol Hepatol 2017;14(1):43-54 View Article PubMed/NCBI
  10. Verstockt B, Vancamelbeke M, Vermeire S. Increased inflammatory state in IBD multiplex first-degree relatives not developing intestinal disease. Gut 2024;73(9):1586-1588 View Article PubMed/NCBI
  11. Mjelle R, Kristensen AK, Solheim TS, Westvik GS, Elvebakken H, Hofsli E. Serum small RNAs in metastatic colorectal cancer predict response to chemotherapy and characterize high-risk patients. Mol Cancer 2024;23(1):133 View Article PubMed/NCBI
  12. Jiang YS, Wei WS, Xie DT, Guo G. Circular RNAs inducing the osteogenic differentiation of dental mesenchymal stem cells via microRNA sponging. World J Stem Cells 2025;17(5):101638 View Article PubMed/NCBI
  13. Sun Y, Pang X, Huang X, Liu D, Huang J, Zheng P, et al. Potential mechanisms of non-coding RNA regulation in Alzheimer’s disease. Neural Regen Res 2026;21(1):265-280 View Article PubMed/NCBI
  14. Hussain MS, Moglad E, Afzal M, Bansal P, Kaur H, Deorari M, et al. Circular RNAs in the KRAS pathway: Emerging players in cancer progression. Pathol Res Pract 2024;256:155259 View Article PubMed/NCBI
  15. Rajappa A, Banerjee S, Sharma V, Khandelia P. Circular RNAs: Emerging Role in Cancer Diagnostics and Therapeutics. Front Mol Biosci 2020;7:577938 View Article PubMed/NCBI
  16. Zheng S, Hedl M, Abraham C. Twist1 and Twist2 Contribute to Cytokine Downregulation following Chronic NOD2 Stimulation of Human Macrophages through the Coordinated Regulation of Transcriptional Repressors and Activators. J Immunol 2015;195(1):217-226 View Article PubMed/NCBI
  17. Zhu P, Zhu X, Wu J, He L, Lu T, Wang Y, et al. IL-13 secreted by ILC2s promotes the self-renewal of intestinal stem cells through circular RNA circPan3. Nat Immunol 2019;20(2):183-194 View Article PubMed/NCBI
  18. Can UI, Stenske SE, Rosenbaum MD, Reinhardt RL. Rapid group-2 innate lymphoid cell mobilization from the intestine aids in early lung defense and repair. Cell Rep 2025;44(7):115868 View Article PubMed/NCBI
  19. Guo H, Zhang J, Jiang Z, Zhu X, Yang J, Mu R, et al. Noncoding RNA circBtnl1 suppresses self-renewal of intestinal stem cells via disruption of Atf4 mRNA stability. EMBO J 2023;42(6):e112039 View Article PubMed/NCBI
  20. Bastide P, Darido C, Pannequin J, Kist R, Robine S, Marty-Double C, et al. Sox9 regulates cell proliferation and is required for Paneth cell differentiation in the intestinal epithelium. J Cell Biol 2007;178(4):635-648 View Article PubMed/NCBI
  21. Zhu P, Wu J, Wang Y, Zhu X, Lu T, Liu B, et al. LncGata6 maintains stemness of intestinal stem cells and promotes intestinal tumorigenesis. Nat Cell Biol 2018;20(10):1134-1144 View Article PubMed/NCBI
  22. Zhang X, Xu Y, Yamaguchi K, Hu J, Zhang L, Wang J, et al. Circular RNA circVAPA knockdown suppresses colorectal cancer cell growth process by regulating miR-125a/CREB5 axis. Cancer Cell Int 2020;20:103 View Article PubMed/NCBI
  23. van Es JH, Jay P, Gregorieff A, van Gijn ME, Jonkheer S, Hatzis P, et al. Wnt signalling induces maturation of Paneth cells in intestinal crypts. Nat Cell Biol 2005;7(4):381-386 View Article PubMed/NCBI
  24. Palrasu M, Kakar K, Marudamuthu A, Hamida H, Thada S, Zhong Y, et al. AhR Activation Transcriptionally Induces Anti-Microbial Peptide Alpha-Defensin 1 Leading to Reversal of Gut Microbiota Dysbiosis and Colitis. Gut Microbes 2025;17(1):2460538 View Article PubMed/NCBI
  25. Yang L, Li H, Tang M, He L, Yang L. Circular RNAs in inflammatory bowel disease: a review of mechanisms, biomarkers and therapeutic potential. Front Immunol 2025;16:1540768 View Article PubMed/NCBI
  26. Rosenbaum C, Böttner M, Wedel T, Metzger M. Laser-Capture Microdissection for Layer-Specific Analysis of Enteric Ganglia. Methods Mol Biol 2018;1723:361-369 View Article PubMed/NCBI
  27. Wang X, Xu C, Cai Y, Zou X, Chao Y, Yan Z, et al. CircZNF652 promotes the goblet cell metaplasia by targeting the miR-452-5p/JAK2 signaling pathway in allergic airway epithelia. J Allergy Clin Immunol 2022;150(1):192-203 View Article PubMed/NCBI
  28. Katano T, Bialkowska AB, Yang VW. KLF4 Regulates Goblet Cell Differentiation in BMI1(+) Reserve Intestinal Stem Cell Lineage during Homeostasis. Int J Stem Cells 2020;13(3):424-431 View Article PubMed/NCBI
  29. Nyström EEL, Martinez-Abad B, Arike L, Birchenough GMH, Nonnecke EB, Castillo PA, et al. An intercrypt subpopulation of goblet cells is essential for colonic mucus barrier function. Science 2021;372(6539):eabb1590 View Article PubMed/NCBI
  30. Kristensen LS, Andersen MS, Stagsted LVW, Ebbesen KK, Hansen TB, Kjems J. The biogenesis, biology and characterization of circular RNAs. Nat Rev Genet 2019;20(11):675-691 View Article PubMed/NCBI
  31. Legnini I, Di Timoteo G, Rossi F, Morlando M, Briganti F, Sthandier O, et al. Circ-ZNF609 Is a Circular RNA that Can Be Translated and Functions in Myogenesis. Mol Cell 2017;66(1):22-37.e9 View Article PubMed/NCBI
  32. Yu Z, Zhou X, Liu Z, Pastrana-Gomez V, Liu Y, Guo M, et al. KMT2D-NOTCH Mediates Coronary Abnormalities in Hypoplastic Left Heart Syndrome. Circ Res 2022;131(3):280-282 View Article PubMed/NCBI
  33. Chen LL. The expanding regulatory mechanisms and cellular functions of circular RNAs. Nat Rev Mol Cell Biol 2020;21(8):475-490 View Article PubMed/NCBI
  34. Wang Y, Fu Y. Identification of circRNA-miRNA-mRNA networks to explore underlying mechanism in lung cancer. Health Inf Sci Syst 2025;13(1):5 View Article PubMed/NCBI
  35. Fardi F, Khasraghi LB, Shahbakhti N, Salami Naseriyan A, Najafi S, Sanaaee S, et al. An interplay between non-coding RNAs and gut microbiota in human health. Diabetes Res Clin Pract 2023;201:110739 View Article PubMed/NCBI
  36. Zhu Z, Huang J, Li X, Xing J, Chen Q, Liu R, et al. Gut microbiota regulate tumor metastasis via circRNA/miRNA networks. Gut Microbes 2020;12(1):1788891 View Article PubMed/NCBI
  37. Glaser SF, Brezski A, Baumgarten N, Klangwart M, Heumüller AW, Maji RK, et al. Circular RNA circPLOD2 regulates pericyte function by targeting the transcription factor KLF4. Cell Rep 2023;42(8):112824 View Article PubMed/NCBI
  38. Cai H, Liang X, Ai S, Sun H, Zhang X, Lu Q, et al. Radiation-sensitive circRNA promotes intestinal regeneration. Cell Mol Biol Lett 2025;30(1):104 View Article PubMed/NCBI
  39. Liu D, Kong DR. Investigating the Impact of hsa_circ_0005255 on Proliferation and Autophagy in Crohn’s Disease Intestinal Epithelial Cells Through miR-23a-3p-Mediated NCOA3 Expression. Kaohsiung J Med Sci 2025;41(8):e70035 View Article PubMed/NCBI
  40. Wang Y, Mo Y, Peng M, Zhang S, Gong Z, Yan Q, et al. The influence of circular RNAs on autophagy and disease progression. Autophagy 2022;18(2):240-253 View Article PubMed/NCBI
  41. Zhuang M, Zhang X, Cai J. Microbiota-gut-brain axis: interplay between microbiota, barrier function and lymphatic system. Gut Microbes 2024;16(1):2387800 View Article PubMed/NCBI
  42. Malmuthuge N, Guan LL. Noncoding RNAs: Regulatory Molecules of Host-Microbiome Crosstalk. Trends Microbiol 2021;29(8):713-724 View Article PubMed/NCBI
  43. Abbas MN, Kausar S, Gul I, Li J, Yu H, Dong M, et al. The Potential Biological Roles of Circular RNAs in the Immune Systems of Insects to Pathogen Invasion. Genes (Basel) 2023;14(4):895 View Article PubMed/NCBI
  44. Melo-González F, Sepúlveda-Alfaro J, Schultz BM, Suazo ID, Boone DL, Kalergis AM, et al. Distal Consequences of Mucosal Infections in Intestinal and Lung Inflammation. Front Immunol 2022;13:877533 View Article PubMed/NCBI
  45. Chen G, Zhang W, Wang C, Chen M, Hu Y, Wang Z. Identification of prognostic biomarkers of sepsis and construction of ceRNA regulatory networks. Sci Rep 2025;15(1):2850 View Article PubMed/NCBI
  46. Hyoju S, Machutta K, Krezalek MA, Alverdy JC. What Is the Role of the Gut in Wound Infections?. Adv Surg 2023;57(1):31-46 View Article PubMed/NCBI
  47. Guo X, Sha Y, Pu X, Xu Y, Yao L, Liu X, et al. Coevolution of Rumen Epithelial circRNAs with Their Microbiota and Metabolites in Response to Cold-Season Nutritional Stress in Tibetan Sheep. Int J Mol Sci 2022;23(18):10488 View Article PubMed/NCBI
  48. Zhao X, Zheng Y, Cai X, Yao Y, Qin D. The Expanding Role of Non-Coding RNAs in Neurodegenerative Diseases: From Biomarkers to Therapeutic Targets. Pharmaceuticals (Basel) 2026;19(1):92 View Article PubMed/NCBI
  49. Quaglio AEV, Grillo TG, De Oliveira ECS, Di Stasi LC, Sassaki LY. Gut microbiota, inflammatory bowel disease and colorectal cancer. World J Gastroenterol 2022;28(30):4053-4060 View Article PubMed/NCBI
  50. Beyaz S, Chung C, Mou H, Bauer-Rowe KE, Xifaras ME, Ergin I, et al. Dietary suppression of MHC class II expression in intestinal epithelial cells enhances intestinal tumorigenesis. Cell Stem Cell 2021;28(11):1922-1935.e5 View Article PubMed/NCBI
  51. Lloyd-Price J, Arze C, Ananthakrishnan AN, Schirmer M, Avila-Pacheco J, Poon TW, et al. Multi-omics of the gut microbial ecosystem in inflammatory bowel diseases. Nature 2019;569(7758):655-662 View Article PubMed/NCBI
  52. Sadeghloo Z, Ebrahimi S, Hakemi-Vala M, Totonchi M, Sadeghi A, Fatemi N. Fusobacterium nucleatum and non-coding RNAs: orchestrating oncogenic pathways in colorectal cancer. Gut Pathog 2025;17(1):78 View Article PubMed/NCBI
  53. Snodgrass JL, Velayudhan BT. Butyrate-Producing Bacteria as a Keystone Species of the Gut Microbiome: A Systemic Review of Dietary Impact on Gut-Brain and Host Health. Int J Mol Sci 2026;27(3):1289 View Article PubMed/NCBI
  54. Forman HJ, Zhang H. Targeting oxidative stress in disease: promise and limitations of antioxidant therapy. Nat Rev Drug Discov 2021;20(9):689-709 View Article PubMed/NCBI
  55. Song Y, Han S, Liu L, Zheng L, Wang J, Cui Z, et al. circ_0000554 promotes macrophage M2 polarization mediated by glycolytic reprogramming and aggravates COPD injury. Toxicol Lett 2025;410:147-158 View Article PubMed/NCBI
  56. Li XX, Xiao L, Chung HK, Ma XX, Liu X, Song JL, et al. Interaction between HuR and circPABPN1 Modulates Autophagy in the Intestinal Epithelium by Altering ATG16L1 Translation. Mol Cell Biol 2020;40(6):e00492-19 View Article PubMed/NCBI
  57. Kazmi I, Altamimi ASA, Afzal M, Majami AA, Abbasi FA, Almalki WH, et al. Non-coding RNAs: Emerging biomarkers and therapeutic targets in ulcerative colitis. Pathol Res Pract 2024;253:155037 View Article PubMed/NCBI
  58. Ye Y, Zhang L, Hu T, Yin J, Xu L, Pang Z, et al. CircRNA_103765 acts as a proinflammatory factor via sponging miR-30 family in Crohn’s disease. Sci Rep 2021;11(1):565 View Article PubMed/NCBI
  59. Yin J, Ye YL, Hu T, Xu LJ, Zhang LP, Ji RN, et al. Hsa_circRNA_102610 upregulation in Crohn’s disease promotes transforming growth factor-β1-induced epithelial-mesenchymal transition via sponging of hsa-miR-130a-3p. World J Gastroenterol 2020;26(22):3034-3055 View Article PubMed/NCBI
  60. Qiu C, Chen Y, Xia H, Duan J, Zhang L, Zhang Y, et al. Hsa_circ_0004662 Accelerates the Progression of Ulcerative Colitis via the microRNA-532/HMGB3 Signalling Axis. J Cell Mol Med 2025;29(6):e70430 View Article PubMed/NCBI
  61. Soveg F, von Moltke J, Savan R. CIRCling the wagons to protect intestinal stem cells. Nat Immunol 2019;20(2):114-116 View Article PubMed/NCBI
  62. Zhang S, Wang W, Wu X, Zhou X. Regulatory Roles of Circular RNAs in Coronary Artery Disease. Mol Ther Nucleic Acids 2020;21:172-179 View Article PubMed/NCBI
  63. Mohammadi D, Zafari Y, Estaki Z, Mehrabi M, Moghbelinejad S. Evaluation of plasma circ_0006282 as a novel diagnostic biomarker in colorectal cancer. J Clin Lab Anal 2022;36(1):e24147 View Article PubMed/NCBI
  64. Chen Y, Zhao J, Pu R, Fu C, Li Z, Yin J, et al. Circular RNAs: roles in hepatocellular carcinoma immune regulation, implications in immunotherapy, and prospects for clinical translation. Front Mol Biosci 2025;12:1750832 View Article PubMed/NCBI
  65. Belete MA, Tadesse S, Tilahun M, Gedefie A, Shibabaw A, Mulatie Z, et al. Long noncoding RNAs and circular RNAs as potential diagnostic biomarkers of inflammatory bowel diseases: a systematic review and meta-analysis. Front Immunol 2024;15:1362437 View Article PubMed/NCBI
  66. Hu Y, Lu Y, Fang Y, Zhang Q, Zheng Z, Zheng X, et al. Role of long non-coding RNA in inflammatory bowel disease. Front Immunol 2024;15:1406538 View Article PubMed/NCBI
  67. Zeng J, Zhang Z, Liao Q, Lu Q, Liu J, Yuan L, et al. CircPan3 Promotes the Ghrelin System and Chondrocyte Autophagy by Sponging miR-667-5p During Rat Osteoarthritis Pathogenesis. Front Cell Dev Biol 2021;9:719898 View Article PubMed/NCBI
  68. Wesselhoeft RA, Kowalski PS, Parker-Hale FC, Huang Y, Bisaria N, Anderson DG. RNA Circularization Diminishes Immunogenicity and Can Extend Translation Duration In Vivo. Mol Cell 2019;74(3):508-520.e4 View Article PubMed/NCBI
  69. He T, Li Y, Li W, Zhang M, Wang G, Zhou P, et al. Enhanced antitumor efficacy of STING agonist MSA-2 by lipid nanoparticles delivering circular IL-23 mRNA and platinum-modified MSA-2 combination. Mater Today Bio 2025;30:101446 View Article PubMed/NCBI
  70. Luo J, Xu S, Wang J, He L, Li Z. Circular RNA circWBSCR22 facilitates colorectal cancer metastasis by enhancing CHD4’s protein stability. Int J Biol Macromol 2024;282(Pt 4):137135 View Article PubMed/NCBI
  71. Joshi V, Swati, Mishra A, Panda A, Sharma V. The role of circular RNAs in regulating cytokine signaling in cancer. FEBS Open Bio 2025;15(9):1436-1458 View Article PubMed/NCBI
  72. Tang C, Wan Y, Zhang X, Zhong B, Zhang M. Co-delivery of circCDR1 and temozolomide with hyaluronic acid-chitosan nanoparticles inhibits glioma progression. Gen Physiol Biophys 2025;44(2):107-122 View Article PubMed/NCBI

About this Article

Cite this article
Yang W, Lou J. Circular RNAs and Gut Barrier Integrity: Molecular Mechanisms and Translational Applications. Gastroenterol & Hepatol Res. 2026;8(1):e00005. doi: 10.14218/GHR.2026.00005.
Copy        Export to RIS        Export to EndNote
Article History
Received Revised Accepted Published
December 12, 2025 February 28, 2026 March 3, 2026 March 25, 2026
DOI http://dx.doi.org/10.14218/GHR.2026.00005
  • Gastroenterology & Hepatology Research
  • eISSN 2703-173X
Back to Top

Circular RNAs and Gut Barrier Integrity: Molecular Mechanisms and Translational Applications

Wanglei Yang, Jiaqi Lou
  • Reset Zoom
  • Download TIFF