v
Search
Advanced

Publications > Journals > Journal of Translational Gastroenterology> Article Full Text

  • OPEN ACCESS

Impaired Gastric Myoelectrical Rhythms Associated with Altered Autonomic Functions in Patients with Severe Ischemic Stroke

  • Xiaomeng Sun1,#,
  • Qiang Chen2,#,
  • Yuan Xiao2,
  • Lin Lin3 and
  • Jiande D.Z. Chen4,* 
 Author information 

Abstract

Backgrounds and objectives

Gastrointestinal complications are common in patients after ischemic stroke. Gastric motility is regulated by gastric pace-making activity (also called gastric myoelectrical activity (GMA)) and autonomic function. The aim of this study was to evaluate GMA, assessed by noninvasive electrogastrography (EGG), and autonomic function, measured via spectral analysis of heart rate variability derived from the electrocardiogram in patients with ischemic stroke.

Methods

EGG and electrocardiogram were simultaneously recorded in both fasting and postprandial states in 14 patients with ischemic stroke and 11 healthy controls. Multi-channel surface EGG was used to measure GMA, and autonomic function was evaluated by heart rate variability spectral analysis.

Results

Compared to healthy subjects, patients with ischemic stroke, especially those with a modified Rankin scale ≥ 4, had impaired GMA in both fasting and postprandial states. This included a lower percentage of normal gastric slow waves (the basic rhythmic waves of GMA) and a higher percentage of tachygastria, bradygastria, or arrhythmia. Patients with ischemic stroke also showed a decrease in the dominant frequency and power of the gastric slow waves. Autonomic functions were altered in ischemic stroke patients with a modified Rankin scale ≥ 4, as reflected by increased sympathetic activity and reduced parasympathetic activity.

Conclusions

Gastric pace-making activity is impaired in patients with severe ischemic stroke, as evidenced by a reduced percentage of normal gastric slow waves and a lower frequency of gastric slow waves, likely due to impaired autonomic functions.

Keywords

Stroke, Electrogastrography, Gastric slow waves, Gastrointestinal motility, Autonomoc function, Heart rate variability

Introduction

Ischemic stroke, also referred to as cerebral infarction, is a leading cause of adult disability and mortality worldwide. It can occur due to the acute interruption of oxygenated blood flow in the central nervous system. The incidence of ischemic stroke has been gradually increasing in recent years.1,2 The global prevalence of stroke in 2016 was 80.1 million.3 In the USA alone, about 800,000 people suffer from stroke every year.4 In China, stroke has been the leading cause of death and disability, as well as the leading cause of disability-adjusted life years in 2019.5

Patients with stroke may suffer from a variety of complications, and gastrointestinal (GI) complications are common. Studies have shown that GI motility disorders are common after ischemic stroke. One study assessed esophageal sphincter function using esophageal manometry in 35 patients with ischemic stroke and found that esophageal sphincter function was impaired in these patients.4 Cerebral ischemic rats also showed impaired small intestine motility.6 Constipation and fecal incontinence are common among ischemic stroke patients.7–9 The incidence of constipation is even higher in post-stroke patients in rehabilitation institutions, and laxatives are almost universally used.10 The colon transit time was found to be prolonged in post-stroke constipation patients, as reported in one study.11 However, little research has addressed gastric motility in stroke patients.

Currently, only a few studies have reported altered gastric emptying in stroke patients. Evidence suggests that delayed gastric emptying caused by stroke may increase the incidence of Helicobacter pylori gastric colonization.12 Crome et al. reported delayed gastric emptying in acute stroke patients using the paracetamol absorption test, which might result in delayed pharmacological action of orally administered drugs.13 Accordingly, it is important to assess gastric dysmotility in stroke patients as early as possible to provide early intervention.

Gastric myoelectrical activity (GMA), also known as gastric pace-making activity, plays an important role in regulating gastric motility.14 GMA consists of slow waves and spikes, with the former determining the frequency and propagation of gastric contractions.15 Non-invasive electrogastrography (EGG) is a common method to measure GMA. When appropriately recorded, EGG is an accurate measure of gastric slow waves.16,17 Gastric dysrhythmia detected by EGG has been associated with functional dyspepsia.18

Spectral analysis of heart rate variability (HRV) is one of the most common methods used to assess autonomic functions. It has also been used to evaluate autonomic functions in stroke patients, with increased sympathetic activity and decreased vagal activity being consistently reported.19 However, no studies have simultaneously investigated the gastric pace-making activity and autonomic functions, or the possible autonomic mechanisms involved in the impairment of gastric motility in patients with ischemic stroke.

Therefore, this study was designed to evaluate possible alterations in GMA in patients after ischemic stroke using non-invasive EGG and to explore the possible mechanisms involving autonomic functions.

Materials and methods

Subjects

Patients were enrolled from Beilun People’s Hospital of Ningbo, Zhejiang Province. All of the patients were diagnosed with ischemic stroke through brain imaging, including computed tomography and/or magnetic resonance imaging. We recruited patients with ischemic stroke who were hospitalized within seven days of the stroke. Patients who met at least one of the following criteria were excluded: (1) patients who suffered from disturbance of consciousness; (2) patients who suffered from secondary cerebral infarction, transient cerebral ischemia, hemorrhagic cerebral infarction, asymptomatic cerebral infarction, or lacunar cerebral infarction; (3) patients who suffered from severe diseases of the heart, lungs, liver, or kidneys, or had a history of gastrointestinal diseases; (4) patients who suffered from any brain organic diseases or neurological diseases, such as Parkinson’s disease or multiple sclerosis; (5) patients with poor compliance. All patients recruited into the study were assessed using the modified Rankin scale and the National Institutes of Health Stroke Scale (NIHSS) immediately before the study by one member of the study team. The total score of the National Institutes of Health Stroke Scale ranges from 0 to 42, with higher scores indicating more severe symptoms. The scores of the modified Rankin scale range from 0 to 6: no symptoms at all (0); no significant disability (1); slight disability (2); moderate disability, but able to walk (3); moderate disability, but unable to walk (4); severe disability (5); and deceased (6).20 The disease was considered mild or mild-moderate when the scale was no more than three points; otherwise, the disease was considered moderate-severe or severe.

Age- and sex-matched healthy volunteers were recruited from the community through advertisement, with compensation for their time, to serve as controls. The exclusion criteria for the control group were: (1) any medical history of heart, lung, neurological, or digestive diseases, and (2) any abnormal findings during physical examination.

The study protocol was approved by the hospital’s ethical committee, and written consent was obtained from the participants.

Measurement and analysis of gastric myoelectrical activity

Surface EGG was applied to record GMA using a four-channel recording device (Ningbo MedKinetic Inc., Ningbo, Zhejiang, China). After an overnight fast, the EGG was recorded using the following procedure.21–23 Prior to electrode placement, the abdominal skin was cleaned with a special gel (Nuprep, D.O. Weaver and Co., Aurora, CO, USA) to reduce impedance. Four active electrocardiogram (ECG) electrodes were placed on the cleaned abdominal area: one at the midpoint of the xiphoid process and the umbilicus, the second and third electrodes placed on a 45-degree line, 5 cm and 10 cm above and to the left of the first electrode, respectively, and the fourth electrode 3 cm horizontally to the right of the first one. A common reference electrode was placed at the xiphoid process. Four EGG signals were derived by connecting each of the four active electrodes to the common reference electrode. The EGG signals were amplified by the recording device with cutoff frequencies of 0.016 Hz and 0.5 Hz. The recordings were made for 30 m in the fasting state and 30 m after a standard testing meal (475 kcal, with 21% protein, 17% fat, and 62% carbohydrate) consumed within 15 m. Subjects were in a supine position and instructed to minimize movements during the entire recording period; no talking or reading was allowed. The duration of the EGG recordings (30-m fasting and 30-m postprandial recordings) and the size of the test meal were based on previously established methods.24,25 These previous studies suggest that a 30-m recording is appropriate for the EGG to accurately reflect gastric slow waves and that the test meal should contain a minimum of 250 kcal (ideally > 400 kcal) with no more than 35% fat.

Analysis of GMA

The EGG data obtained during the 30-m fasting state and the 30-m postprandial state were analyzed using established software validated in previous studies.26 The pattern of the EGG was characterized by several quantitative parameters, including the percentages of normal rhythmic waves (typically called slow waves), bradygastria, tachygastria, arrhythmia, dominant frequency, and dominant power (DP). The percentage of normal gastric slow waves was defined as the percentage of time during which normal two to four cycles per minute (cpm) slow waves were present in the minute-by-minute running spectra. A minute of data was defined as bradygastria if its spectral peak was in the range of 0.5–2 cpm, tachygastria if the peak was in the 4–9 cpm range, or arrhythmia if there was no clear peak in the spectrum.27,28 DP was defined as the dominant peak in the range of 0.5–9.0 cpm in the overall power spectrum of the 30-m fasting or postprandial recording. The frequency corresponding to the DP was defined as the dominant frequency.

Assessment of autonomic function

The ECG recording was obtained using an ECG amplifier (ECG-201, Ningbo MedKinetic Inc., Ningbo, Zhejiang, China) with a cutoff frequency of 100 Hz via three surface ECG electrodes placed on the right manubrium of the sternum, the fifth intercostal space in the left medioclavicular line, and the right chest (ground electrode), respectively. Previously validated software was used to identify R waves from the ECG signal and establish the corresponding HRV signal.21,23 The HRV signal was then subjected to overall power spectral analysis. The power in each frequency sub-band was calculated according to a previously validated method.21,23 Low-frequency power (LF) was defined in the frequency sub-band of 0.04–0.15 Hz to represent mainly sympathetic activity, while high-frequency power (HF) was defined in the frequency sub-band of 0.15–0.50 Hz to reflect parasympathetic or vagal activity. The LF/HF ratio reflects the balance of sympathetic and parasympathetic activity.21,23

Statistical analysis

Statistical analyses were performed on the EGG and HRV data using the SPSS statistical package (version 20.0; SPSS Inc., Chicago, IL, USA). All data are expressed as means ± SEM. Analysis of variance was performed to investigate the differences in EGG and HRV parameters among healthy controls, patients with mild-moderate stroke, and patients with severe stroke. Paired and unpaired Student’s t-tests were used to investigate the differences in EGG and HRV between fasting and fed states, as well as between patients with mild-moderate stroke or severe stroke and healthy controls, respectively. A P-value of less than 0.05 was considered statistically significant.

Results

This study included 14 patients, 11 men (79%) and three women (21%). The average age of the enrolled patients was 75.2 ± 4.9 years. Seven patients had a mild-moderate stroke, and the other seven patients had a moderate-severe stroke. The healthy controls had a mean age of 73.3 ± 5.4 years, with seven males and three females (see Table 1).

Table 1

Demographic characteristics of the patients

Control group (n = 10)Stroke patients (n = 14)
P-value
Mild-moderate (n = 7)Moderate-severe (n = 7)
Male (%)7 (70%)6 (85.7%)5 (71.4%)0.737
Age (years)73.3 ± 5.470.1 ± 5.980.3 ± 2.50.322
Upper gastrointestinal symptomsnoneOne had abdominal distensionThree had abdominal distension0.064

Gastric myoelectrical activity

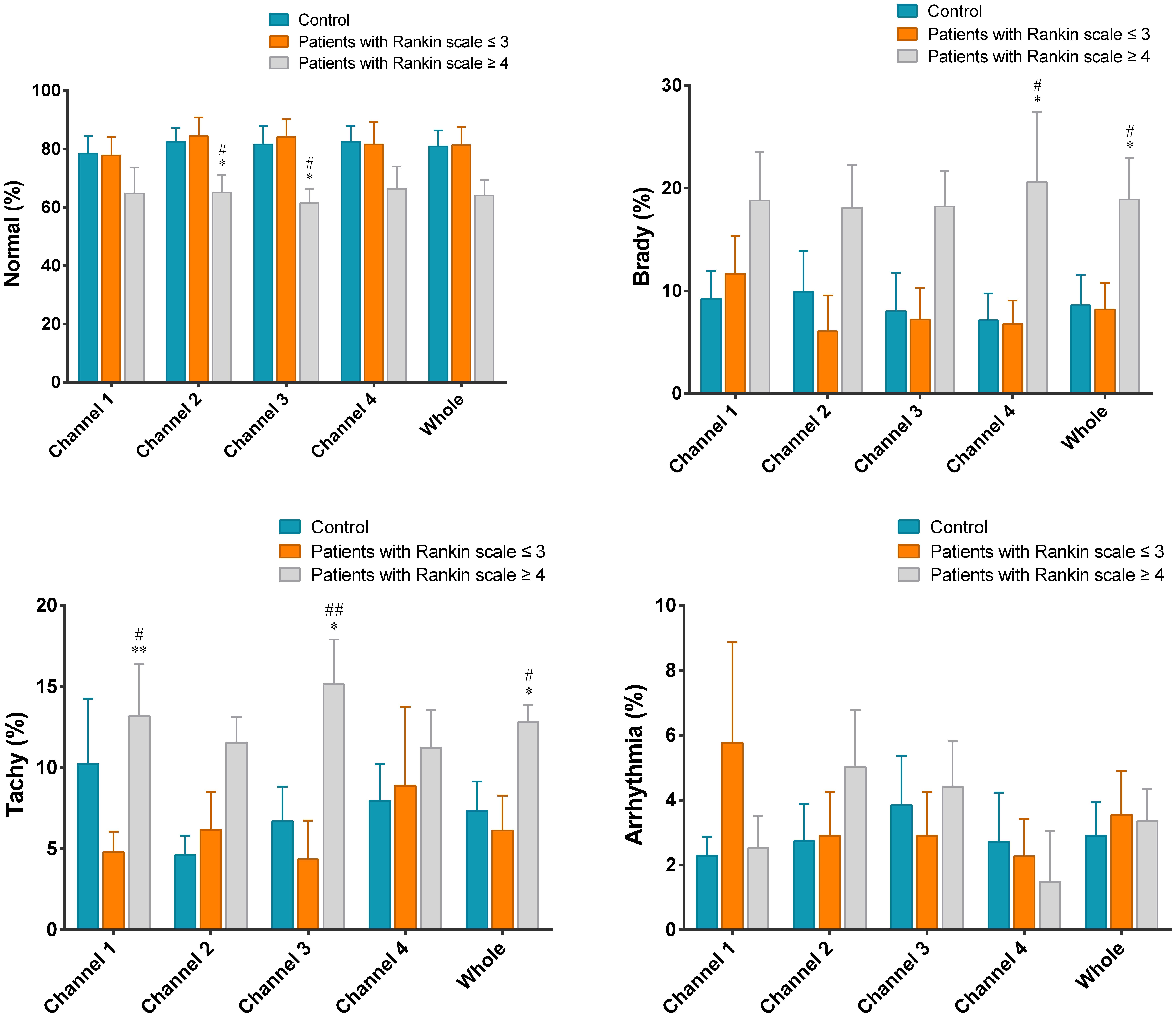
In the fasting state, patients with severe stroke showed impaired GMA, reflected as a reduced percentage of normal slow waves and a reduced dominant frequency. Figures 1 and 2 show the parameters (percentages of normal slow waves, tachygastria, bradygastria, and dominant frequency) of the EGG (each individual channel and average of four channels) in the fasting state among different groups of subjects (controls, patients with mild-moderate stroke, and patients with severe stroke). The patients with mild or mild-moderate stroke showed no significant difference in percentages of normal slow waves averaged over the four channels. However, patients with severe stroke showed impaired gastric slow waves in comparison with the healthy controls. Overall (see average values of all four channels), patients with severe stroke showed a significantly reduced percentage of normal slow waves, significantly increased percentages of bradygastria and tachygastria (Fig. 1), and significantly reduced dominant frequency (Fig. 2) in comparison with the healthy controls. Some of these differences were also significant in individual channels, such as a reduced percentage of normal slow waves in Channels 1 to 3, an increased percentage of bradygastria in Channels 1, 2 and 4 and an increased percentage of tachygastria in Channels 1 and 2. The reduction in dominant frequency in patients with severe stroke was also significant compared to patients with mild-moderate stroke (Channels 1 and 2 and overall across four channels).

Pre-prandial gastric rhythms among stroke patients of varying severity and healthy elderly individuals.
Fig. 1  Pre-prandial gastric rhythms among stroke patients of varying severity and healthy elderly individuals.

The X-axis (1–4) represents Channels 1–4, respectively, and “whole” refers to the average of the four channels. **P < 0.01, *P < 0.05 compared to healthy subjects; #P < 0.05 compared to moderate stroke patients.

Dominant frequency of gastric slow waves in the fasting state among stroke patients of varying severity and healthy elderly individuals.
Fig. 2  Dominant frequency of gastric slow waves in the fasting state among stroke patients of varying severity and healthy elderly individuals.

The X-axis (1–4) represents Channels 1–4, respectively, and “whole” refers to the average of the four channels. **P < 0.01, *P < 0.05 compared to healthy subjects; ##P < 0.01, #P < 0.05 compared to moderate stroke patients.

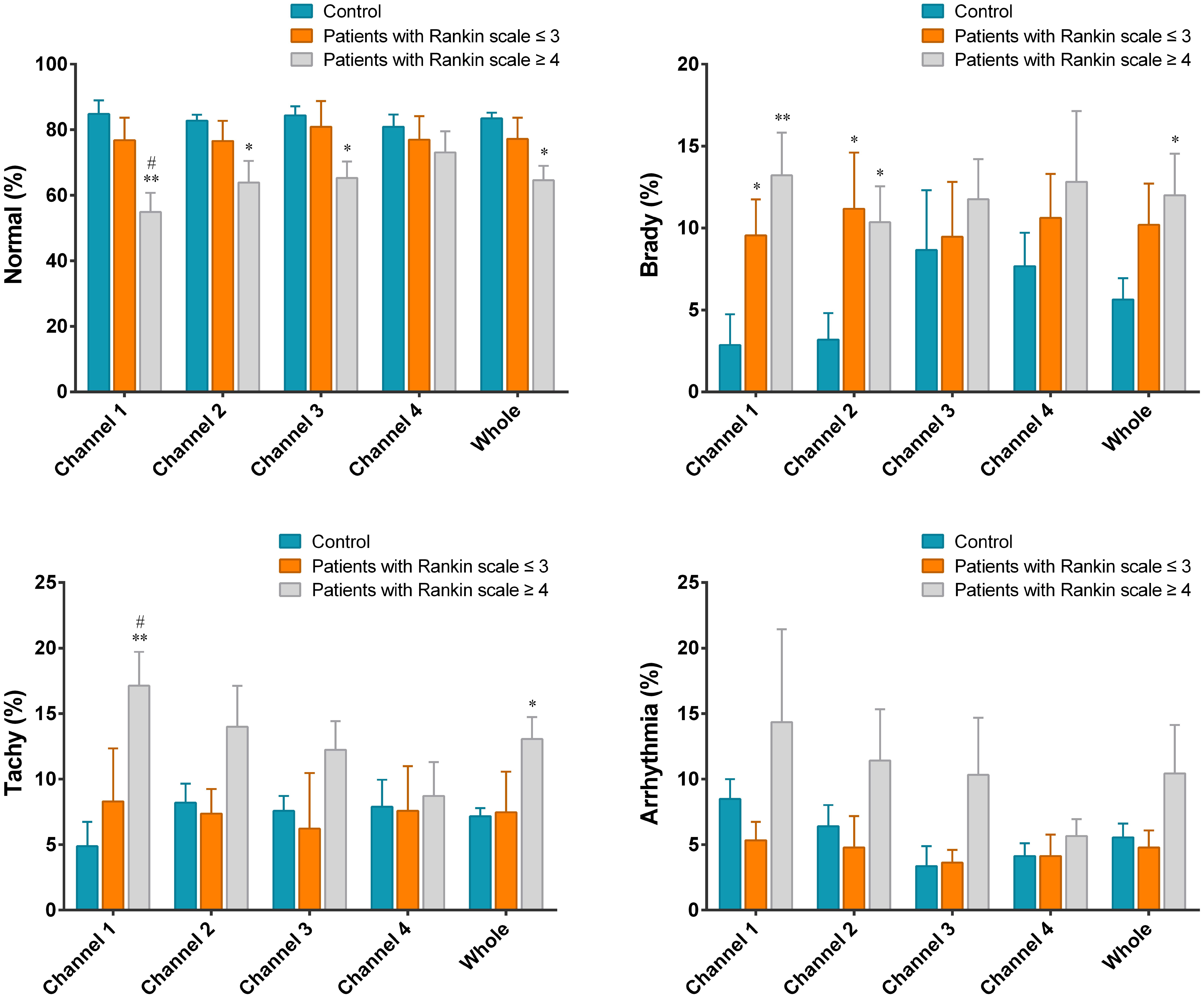
Similar abnormalities were also noted in the postprandial state. As shown in Figure 3, patients with severe stroke showed a reduced percentage of normal slow waves and an increased percentage of bradygastria in all channels of the EGG and the average of 4 channels of the EGG, and an increased percentage of tachygastria in Channels 2 to 4 and the average of 4 channels of the EGG. These abnormalities in gastric slow waves were, however, not noted in patients with mild stroke, suggesting that the impairment in gastric slow waves was associated with the severity of stroke.

Post-prandial gastric rhythms among stroke patients of varying severity and healthy elderly individuals.
Fig. 3  Post-prandial gastric rhythms among stroke patients of varying severity and healthy elderly individuals.

The X-axis (1–4) represents Channels 1–4, respectively, and “whole” refers to the average of the four channels. **P < 0.01, *P < 0.05 compared to healthy subjects; ##P < 0.01, #P < 0.05 compared to moderate stroke patients.

The healthy controls showed a postprandial increase in the DP of the EGG, and this increase was also noted in patients with stroke. As shown in Figure 4, no significant difference was observed in the postprandial increase among the three groups of subjects.

Postprandial increase in dominant power (DP) of the electrogastrography among three groups of subjects.
Fig. 4  Postprandial increase in dominant power (DP) of the electrogastrography among three groups of subjects.

The X-axis (1–4) represents Channels 1–4, respectively.

Cardiac sympathetic and vagal activities

Cardiac vagal activity, assessed by the spectral analysis of HRV, was significantly different between healthy elderly subjects and severe stroke patients, while no difference was found between the control group and patients with mild to moderate stroke. Vagal activity (HF) was decreased, while sympathetic activity was increased in stroke patients whose modified Rankin scale was ≥4. The sympathovagal balance (LF/HF) was also decreased in these stroke patients (see Fig. 5).

Autonomic functions among three groups of patients in the fasting state.
Fig. 5  Autonomic functions among three groups of patients in the fasting state.

LF, low-frequency component representing sympathetic activity; HF, high-frequency component representing vagal activity. **P < 0.01 compared to healthy subjects; ##P < 0.01 compared to moderate stroke patients.

Discussions

In this study, we investigated GMA in stroke patients using noninvasive EGG and autonomic function using spectral analysis of HRV. Our study demonstrated that: (1) patients with severe ischemic stroke showed impaired gastric slow wave rhythms in both fasting and fed states, reflected as a decrease in normal slow waves and an increase in gastric dysrhythmia; (2) patients with severe ischemic stroke also exhibited impaired cardiac autonomic functions, shown as an increase in sympathetic activity and a decrease in vagal activity; (3) the abnormalities in gastric and cardiac functions were associated with the severity of stroke, with mild-moderate ischemic stroke not resulting in any impairment in gastric myoelectrical activity or cardiac autonomic function.

To the best of our knowledge, this was the first study to investigate GMA in patients with ischemic stroke. GMA is a gastric pacemaker activity that plays an important role in regulating gastric motility and can be assessed noninvasively using EGG. The current study demonstrated impaired gastric slow waves in patients with severe ischemic stroke, reflected as a reduced percentage of normal slow waves and increased gastric dysrhythmias. In patients with mild stroke, however, gastric pacemaker activity was not altered. These results suggest that impairment in gastric slow waves was associated with the severity of the stroke. Additionally, we noted that the impairment in the slow waves was more severe in the postprandial state than the fasting state. In the fasting state, three of the four EGG channels showed a significant decrease in the percentage of normal slow waves; this was also true for the average of the four channels. Moreover, the dominant frequency of slow waves was significantly decreased in Channels 1 and 2 as well as in the average of the four channels. In the postprandial state, the reduction in the percentage of normal slow waves was observed in all channels; However, there was no significant decrease in the dominant frequency of slow waves. These findings suggest that in some patients, although gastric pacemaker activity was impaired in the fasting state, it returned to normal in the postprandial state, indicating that these patients might tolerate feeding better. Due to the limited sample size, more detailed analyses were not possible to investigate the relationship between postprandial slow waves and food intolerance. The pathophysiological basis of GI dysmotility in ischemic stroke patients remains poorly understood, and this is also true for the impairment in gastric slow waves. Bradygastria is attributed to a decrease in the frequency of regular pacemaker activity, while tachygastria is caused by an ectopic pacemaker, usually located in the antrum, firing at an abnormally higher frequency. Sometimes, the ectopic pacemaker activity is unstable in both frequency and location, which can lead to mixed gastric tachyarrhythmia or bradyarrhythmia.29,30

The impairment in gastric slow waves observed in patients with severe ischemic stroke highlights the brain-gut interaction. It has previously been reported that injuries in central nervous system were the cause of swallowing dysfunction.31 In addition to the brain-gut neural pathway, brain-gut peptides may also contribute to the control of gastric motility. For example, cerebral ischemia may lead to changes in the synthesis and secretion of central neuropeptides, resulting in alterations in gastric motility. Due to the limited studies on gastric myoelectric activity in acute and/or chronic stroke patients, we were unable to compare our results with other similar studies.

The concurrent impairment in autonomic functions in patients with severe ischemic stroke suggests an autonomic mechanism involved in the impairment of gastric pacemaker activity. We speculate that severe ischemia in the brain results in sympathetic overactivity and suppression of vagal efferent activity, which in turn leads to impaired gastric slow waves. Concurrent with the impairment in gastric slow waves, an increased sympathovagal ratio and reduced vagal efferent activity were noted in the same group of patients. Since vagal activity, assessed from the spectral analysis of HRV, represents vagal efferent activity to the heart, the reduced vagal activity indicates reduced vagal efferent outflow from the central nervous system. It is well known that suppression of vagal activity and/or activation of sympathetic activity inhibits gastrointestinal motility. In this study, we noted a significant increase in sympathetic activity and a significant decrease in vagal activity, which we believe contributed to the impairment in gastric slow waves. A number of previous studies have also shown autonomic mechanisms involved in the impairment of gastric myoelectrical and motility activities.15,32 Increased sympathetic and decreased vagal tones have been reported to be associated with poorer functional outcomes and higher mortality.33,34 However, this is the first study to attribute impaired gastric pacemaker activity to reduced vagal activity and increased sympathetic activity.

In summary, we speculate the following potential mechanisms behind the observed stroke-induced gastric dysrhythmia: stroke induces sympathetic overactivity and suppression of vagal tone, as shown in this study as well as those reported in the literature;35 altered autonomic function has a direct impact on gastric motility (including slow waves) and an indirect impact on gastric motility by impairing enteric nerves.36 This hypothesized autonomic mechanism is supported by a previous study,7 which reported that stroke induced similar alterations in autonomic function, and the altered autonomic function was correlated with reduced rectal sensation, resulting in stroke-induced constipation.

Pharmacologically, there is a lack of therapy to improve autonomic function. Recently, however, invasive neuromodulation, such as vagal nerve stimulation and sacral nerve stimulation, has been proposed to improve autonomic function.37 Moreover, noninvasive neuromodulation via acupuncture points, such as ST36 and PC6, has been shown to improve autonomic function in patients after stroke9 and improve both autonomic function and impaired pace-making activity in patients with gastroesophageal reflux.38 Further research is warranted to explore the role of neuromodulation in impaired gastric pace-making activity in patients after stroke.

Several limitations of this study should be acknowledged. Firstly, the sample size was small. Secondly, we excluded patients with mental disorders and severe cardiac disease, which could have underpowered our results. Additionally, there was a lack of in-depth study on the possible mechanisms. We plan to conduct a clinical study with a larger sample size in patients with moderate-severe stroke, along with a noninvasive neuromodulation therapy for the treatment of stroke-induced gastric dysrhythmia in the near future.

Conclusions

Gastric pacemaker activity is impaired in patients with severe ischemic stroke, reflected as a reduced percentage and frequency of normal gastric slow waves, possibly attributed to impaired autonomic functions. More studies are needed to confirm this potential mechanism.

Declarations

Acknowledgement

None.

Ethical statement

The study protocol was approved by the hospital’s ethical committee, in strict accordance with the Declaration of Helsinki. Written consent was obtained from the participants.

Data sharing statement

Data supporting the findings of this study are available from the corresponding author upon reasonable request.

Funding

None.

Conflict of interest

JDZC has been Editor-in-Chief of Journal of Translational Gastroenterology since 2023. The other authors have no conflict of interests related to this publication.

Authors’ contributions

Collected the data (XS, QC, YX), analyzed the data (XS, QC). Drafted the manuscript (XS), revision (JDZC). Designation of this project and mapped the structure (LL, JDZC). All authors reviewed the manuscript and approved the final submitted version.

References

  1. Feske SK. Ischemic Stroke. Am J Med 2021;134(12):1457-1464 View Article PubMed/NCBI
  2. Saini V, Guada L, Yavagal DR. Global Epidemiology of Stroke and Access to Acute Ischemic Stroke Interventions. Neurology 2021;97(20 Suppl 2):S6-S16 View Article PubMed/NCBI
  3. GBD 2016 Neurology Collaborators. Global, regional, and national burden of neurological disorders, 1990-2016: a systematic analysis for the Global Burden of Disease Study 2016. Lancet Neurol 2019;18(5):459-480 View Article PubMed/NCBI
  4. Tsao CW, Aday AW, Almarzooq ZI, Alonso A, Beaton AZ, Bittencourt MS, et al. Heart Disease and Stroke Statistics-2022 Update: A Report From the American Heart Association. Circulation 2022;145(8):e153-e639 View Article PubMed/NCBI
  5. Wu S, Wu B, Liu M, Chen Z, Wang W, Anderson CS, et al. Stroke in China: advances and challenges in epidemiology, prevention, and management. Lancet Neurol 2019;18(4):394-405 View Article PubMed/NCBI
  6. Xu X, Zhu Y, Chuai J. Changes in serum ghrelin and small intestinal motility in rats with ischemic stroke. Anat Rec (Hoboken) 2012;295(2):307-312 View Article PubMed/NCBI
  7. Cheng J, Li L, Xu F, Xu Y, Lin L, Chen JDZ. Poststroke Constipation Is Associated With Impaired Rectal Sensation. Am J Gastroenterol 2020;115(1):105-114 View Article PubMed/NCBI
  8. Lim SF, Ong SY, Tan YL, Ng YS, Chan YH, Childs C. Incidence and predictors of new-onset constipation during acute hospitalisation after stroke. Int J Clin Pract 2015;69(4):422-428 View Article PubMed/NCBI
  9. Liu Z, Ge Y, Xu F, Xu Y, Liu Y, Xia F, et al. Preventive effects of transcutaneous electrical acustimulation on ischemic stroke-induced constipation mediated via the autonomic pathway. Am J Physiol Gastrointest Liver Physiol 2018;315(2):G293-G301 View Article PubMed/NCBI
  10. Lin CJ, Hung JW, Cho CY, Tseng CY, Chen HY, Lin FC, et al. Poststroke constipation in the rehabilitation ward: incidence, clinical course and associated factors. Singapore Med J 2013;54(11):624-629 View Article PubMed/NCBI
  11. Yi JH, Chun MH, Kim BR, Han EY, Park JY. Bowel function in acute stroke patients. Ann Rehabil Med 2011;35(3):337-343 View Article PubMed/NCBI
  12. Hansen MB. Neurohumoral control of gastrointestinal motility. Physiol Res 2003;52(1):1-30 PubMed/NCBI
  13. Crome P, Rizeq M, George S, Braithwaite RA, Jones PW. Drug absorption may be delayed after stroke: results of the paracetamol absorption test. Age Ageing 2001;30(5):391-393 View Article PubMed/NCBI
  14. Chen JD, Pan J, McCallum RW. Clinical significance of gastric myoelectrical dysrhythmias. Dig Dis 1995;13(5):275-290 View Article PubMed/NCBI
  15. Athavale ON, Di Natale MR, Avci R, Clark AR, Furness JB, Cheng LK, et al. Mapping the rat gastric slow-wave conduction pathway: bridging in vitro and in vivo methods, revealing a loosely coupled region in the distal stomach. Am J Physiol Gastrointest Liver Physiol 2024;327(2):G254-G266 View Article PubMed/NCBI
  16. Yin J, Chen JD. Electrogastrography: methodology, validation and applications. J Neurogastroenterol Motil 2013;19(1):5-17 View Article PubMed/NCBI
  17. Wolpert N, Rebollo I, Tallon-Baudry C. Electrogastrography for psychophysiological research: Practical considerations, analysis pipeline, and normative data in a large sample. Psychophysiology 2020;57(9):e13599 View Article PubMed/NCBI
  18. Varghese C, Carson DA, Bhat S, Hayes TCL, Gharibans AA, Andrews CN. Clinical associations of functional dyspepsia with gastric dysrhythmia on electrogastrography: A comprehensive systematic review and meta-analysis. Neurogastroenterol Motil 2021;33(12):e14151 View Article PubMed/NCBI
  19. De Raedt S, De Vos A, De Keyser J. Autonomic dysfunction in acute ischemic stroke: an underexplored therapeutic area?. J Neurol Sci 2015;348(1-2):24-34 View Article PubMed/NCBI
  20. Duncan PW, Jorgensen HS, Wade DT. Outcome measures in acute stroke trials: a systematic review and some recommendations to improve practice. Stroke 2000;31(6):1429-1438 View Article PubMed/NCBI
  21. Zhang N, Song G, Chen J, Xu F, Yin J, Wu Q, et al. Ameliorating effects and autonomic mechanisms of needle-less transcutaneous electrical stimulation at ST36 on stress-induced impairment in gastric slow waves. J Gastroenterol Hepatol 2015;30(11):1574-1581 View Article PubMed/NCBI
  22. Wu GJ, Cai XD, Xing J, Zhong GH, Chen JDZ. Circulating motilin, ghrelin, and GLP-1 and their correlations with gastric slow waves in patients with chronic kidney disease. Am J Physiol Regul Integr Comp Physiol 2017;313(2):R149-R157 View Article PubMed/NCBI
  23. Ji T, Li X, Lin L, Jiang L, Wang M, Zhou X, et al. An alternative to current therapies of functional dyspepsia: self-administrated transcutaneous electroacupuncture improves dyspeptic symptoms. Evid Based Complement Alternat Med 2014;2014:832523 View Article PubMed/NCBI
  24. Levanon D, Zhang M, Chen JD. Efficiency and efficacy of the electrogastrogram. Dig Dis Sci 1998;43(5):1023-1030 View Article PubMed/NCBI
  25. Levanon D, Zhang M, Orr WC, Chen JD. Effects of meal volume and composition on gastric myoelectrical activity. Am J Physiol 1998;274(2):G430-G434 View Article PubMed/NCBI
  26. Chen J. A computerized data analysis system for electrogastrogram. Comput Biol Med 1992;22(1-2):45-57 View Article PubMed/NCBI
  27. Lu CL, Chen CY, Luo JC, Chang FY, Lee SD, Wu HC, et al. Impaired gastric myoelectricity in patients with chronic pancreatitis: role of maldigestion. World J Gastroenterol 2005;11(3):372-376 View Article PubMed/NCBI
  28. Lim HC, Lee SI, Chen JD, Park H. Electrogastrography associated with symptomatic changes after prokinetic drug treatment for functional dyspepsia. World J Gastroenterol 2012;18(41):5948-5956 View Article PubMed/NCBI
  29. Parkman HP, Hasler WL, Barnett JL, Eaker EY, American Motility Society Clinical GI Motility Testing Task Force. Electrogastrography: a document prepared by the gastric section of the American Motility Society Clinical GI Motility Testing Task Force. Neurogastroenterol Motil 2003;15(2):89-102 View Article PubMed/NCBI
  30. Qian LW, Pasricha PJ, Chen JD. Origins and patterns of spontaneous and drug-induced canine gastric myoelectrical dysrhythmia. Dig Dis Sci 2003;48(3):508-515 View Article PubMed/NCBI
  31. Yong HYF, Ganesh A, Camara-Lemarroy C. Gastrointestinal Dysfunction in Stroke. Semin Neurol 2023;43(4):609-625 View Article PubMed/NCBI
  32. Song J, Yin J, Sallam HS, Bai T, Chen Y, Chen JD. Electroacupuncture improves burn-induced impairment in gastric motility mediated via the vagal mechanism in rats. Neurogastroenterol Motil 2013;25(10):807-e635 View Article PubMed/NCBI
  33. Mäkikallio AM, Mäkikallio TH, Korpelainen JT, Sotaniemi KA, Huikuri HV, Myllylä VV. Heart rate dynamics predict poststroke mortality. Neurology 2004;62(10):1822-1826 View Article PubMed/NCBI
  34. Sykora M, Steiner T, Rocco A, Turcani P, Hacke W, Diedler J. Baroreflex sensitivity to predict malignant middle cerebral artery infarction. Stroke 2012;43(3):714-719 View Article PubMed/NCBI
  35. Khanna L, Zeydan B, Kantarci OH, Camilleri M. Gastrointestinal motility disorders in patients with multiple sclerosis: A single-center study. Neurogastroenterol Motil 2022;34(8):e14326 View Article PubMed/NCBI
  36. Kumar KP, Wilson JL, Nguyen H, McKay LD, Wen SW, Sepehrizadeh T, et al. Stroke Alters the Function of Enteric Neurons to Impair Smooth Muscle Relaxation and Dysregulates Gut Transit. J Am Heart Assoc 2024;13(3):e033279 View Article PubMed/NCBI
  37. Pikov V. Vagus Nerve Stimulation and Sacral Nerve Stimulation for Inflammatory Bowel Disease: A Systematic Review. J Transl Gastroenterol 2023;1(2):94-100 View Article PubMed/NCBI
  38. Woo JY, Pikov V, Chen JDZ. Neuromodulation for Gastroesophageal Reflux Disease: A Systematic Review. J Transl Gastroenterol 2023;1(1):47-56 PubMed/NCBI

About this Article

Cite this article
Sun X, Chen Q, Xiao Y, Lin L, Chen JD. Impaired Gastric Myoelectrical Rhythms Associated with Altered Autonomic Functions in Patients with Severe Ischemic Stroke. J Transl Gastroenterol. 2025;3(1):1-8. doi: 10.14218/JTG.2024.00029.
Copy        Export to RIS        Export to EndNote
Article History
Received Revised Accepted Published
September 9, 2024 November 18, 2024 December 17, 2024 February 25, 2025
DOI http://dx.doi.org/10.14218/JTG.2024.00029
  • Journal of Translational Gastroenterology
  • eISSN 2994-8754
Back to Top

Impaired Gastric Myoelectrical Rhythms Associated with Altered Autonomic Functions in Patients with Severe Ischemic Stroke

Xiaomeng Sun, Qiang Chen, Yuan Xiao, Lin Lin, Jiande D.Z. Chen
  • Reset Zoom
  • Download TIFF