v
Search
Advanced

Publications > Journals > Neurosurgical Subspecialties> Article Full Text

  • OPEN ACCESS

Biochemical Markers Indicating a High Risk for Infectious Complications in Patients with Combined Traumatic Brain Injury: A Retrospective Observational Study

  • Ozal Beylerli1,
  • Hongli Zhang2,3,
  • Elmar Musaev4,
  • Revaz Dzhindzhikhadze5,
  • Ravil Biktimirov6,
  • Vadim Rashidov7 and
  • Ilgiz Gareev1,* 
 Author information 

Abstract

Background and objectives

Combined traumatic brain injury (CTBI) remains a leading cause of disability/mortality among workers, yet which routine biochemical tests that predict infectious complications remain controversial. We aimed to identify the most informative serum markers for early diagnosis and prognosis of such complications.

Methods

In this retrospective observational study, 80 acute CTBI patients (40 without vs. 40 with mainly bacterial infectious complications) and 40 healthy controls were analyzed. Serum collected at 24, 72, and 168 h was assayed for protein fractions, metabolic markers, lipid peroxidation indices, antioxidant activity, endogenous intoxication markers, acids/minerals, and relevant enzymes.

Results

The study found that the most important prognostic indicator for infectious complications was a simultaneous increase in α1-globulins, β-globulins, diene conjugates, superoxide dismutase, medium- and low-molecular-weight substances in erythrocytes, erythrocyte oligopeptides, and lactate at 24 h after injury (p < 0.001). A significant increase in sialic acids, uronic acids, total Ca and P, and low-density lipoproteins was observed at 72 h after injury (p < 0.001). Notably, individual components from the 24-h panel demonstrated high standalone predictive value, with areas under the curve of diene conjugates (0.91), erythrocyte oligopeptides (0.87), β-globulin (0.86), α1-globulin (0.82), and superoxide dismutase (0.82), respectively. The elevation of these biomarker profiles was significantly correlated with worse clinical outcomes, including longer intensive care unit stay and ventilation duration.

Conclusions

This study identified a set of biochemical markers associated with infectious complications in patients with CTBI. These biochemical parameters may serve as additional diagnostic and prognostic criteria for the management of infectious complications in patients with СTBI.

Keywords

Combined traumatic brain injury, Infectious complications, Biochemical markers, Serum, Diagnosis, Prognosis

Introduction

Combined traumatic brain injury (CTBI) refers to traumatic brain injury (TBI) coexisting with significant extracranial injuries.1 Patients with this injury pattern typically present with life-threatening conditions such as shock and respiratory failure, require complex multidisciplinary management, and are at high risk of complications, as described in polytrauma cohorts that include TBI.2 In this case, pathogenetic factors not only add up but also mutually reinforce each other due to the commonality of individual pathogenetic mechanisms. As a result, an aggravating effect is created, leading to an even more unfavorable development of each of the coexisting processes. TBI is one of the most dangerous types of injury, since, as a result, the clinical course in victims of this group is more severe, with a higher risk of infectious complications.2,3 Despite the successes achieved in recent decades, the mortality rate in the group of victims with CTBI, according to various authors, remains high and reaches 70%. Reducing mortality is a socially significant problem, since these are mainly patients of working age. As already mentioned, one of the main causes of mortality in patients with TBI who have suffered shock and blood loss is infectious complications.4 To reduce mortality from post-traumatic infections, as well as the cost of treatment and rehabilitation, it is necessary to identify patients with a high risk of developing infection for early prevention of complications.

One of the most accessible diagnostic methods in clinical practice is the detection of biochemical markers in human biological fluids.5 According to the definition, biochemical markers are organic chemical substances that can be determined in biological fluids and body environments and reflect normal or pathological processes in cells in response to injury or drug exposure. The main requirements for biochemical markers are: (1) the ability to be determined in biological environments; (2) high sensitivity and tissue- or organ-specificity; (3) reflection of a number of pathophysiological biochemical processes; (4) good reproducibility under experimental conditions; and (5) economic availability.6–9 In neurotraumatology, biochemical markers are used in addition to clinical and instrumental methods and methods of neuromonitoring and neuroimaging for a more accurate determination of the severity of primary and secondary injuries, including infectious complications, the effectiveness of treatment, and the assessment of the prognosis of treatment outcomes in patients with multiple injuries. However, which of the most widely used biochemical tests in clinical practice can reliably predict the high risk of infectious complications in CTBI patients remains controversial. This study aimed to identify the most informative serum biochemical markers for early diagnosis and prognosis of infectious complications in patients with CTBI.

Materials and methods

Collection of clinical material

This retrospective observational single-center study analyzed serum and clinical data from 80 selected patients diagnosed with acute CTBI who were treated at the Educational and Scientific Institute of Neurosurgery, People’s Friendship University of Russia, between January 2023 and August 2025. Forty healthy volunteers were included as a control group. Blood samples were collected from volunteers with no acute or chronic systemic diseases. Volunteers were also matched based on age, gender, and ethnicity. The examination complex began with an examination by a neurosurgeon and traumatologist, with the involvement of a resuscitator, general surgeon, therapist, otolaryngologist, ophthalmologist, dentist, and other specialists, if necessary. General and biochemical blood tests were performed at the same time. Then, all patients underwent computed tomography or magnetic resonance imaging of the brain and skull, or skull radiography; lateral radiography of the cervical spine; and plain radiography of the chest organs. X-ray examination of other parts of the spine, abdomen, pelvis, extremities, and facial skeleton was performed as indicated. The study included all hemodynamically stable patients with suspected TBI who had been involved in road traffic accidents, violent injuries, and falls from height. Inclusion criteria were: (1) TBI with an Abbreviated Injury Scale score of 3 or more; and (2) an Injury Severity Score of 15 or more. The Glasgow Coma Scale was used as a standard clinical assessment at admission, with no minimum score requirement for inclusion. Exclusion criteria included patients with tumors, cardiovascular diseases, immune diseases, organ failure, and chronic infections (before injury), as these diseases could influence the results. All subjects had CTBI of varying severity and were divided into two study groups. There were no fatal outcomes among the patients included in this study. The study design flowchart is shown in Figure 1.

Flow chart showing the study design.
Fig. 1  Flow chart showing the study design.

MLMWS, medium and low molecular weight substances.

Blood collection and serum preparation

Peripheral blood was collected into vacutainers four times during the observation and treatment of patients with CTBI (days 1, 3, and 7), incubated at room temperature for 30 m, and then centrifuged at 1,500 g for 10 m at 4°C to separate the serum. Serum was centrifuged again at 20,000 g for 10 m at 4°C to remove cellular debris, aliquoted into 200 µL, and stored at −80°C until use. Hemolyzed serum samples were excluded.

Determination of biochemical markers or indicators

To assess protein metabolism, the concentration of total protein, albumin, and the percentage and quantitative ratio of protein fractions in blood serum were determined. Electrophoretic separation and identification of serum protein fractions were performed using an automatic electrophoretic analyzer SAS-3, an automatic gel processing system SAS-2, and Platinum 3 software. Total serum protein was determined using a HITACHI 7180 automatic biochemistry analyzer (Hitachi High-Technologies Corporation, Japan) and reagents from the Roche Kit (Shanghai, China). Changes in lipid metabolism were assessed by the concentration of total lipids, total cholesterol, and triglycerides in blood serum. Metabolic load in the postoperative period was studied by the dynamics of changes in the content of glucose, lactic acid, urea, and C-reactive protein in blood serum. The content of endogenous intoxication products was assessed by the level of low- and medium-molecular-weight substances and oligopeptides in blood plasma and erythrocytes. The activity of lipid peroxidation was studied by changes in the concentration of diene conjugates and malonic dialdehyde. The antioxidant system was assessed by the activity of superoxide dismutase in erythrocytes. The metabolism of the organic and mineral components of the bone matrix was assessed by studying the dynamics of the activity of alkaline and acid phosphatases, as well as by the content of glucuronic and sialic acids in blood serum. In deproteinized serum, the content of glucuronic acids was determined by a reaction with carbazole, and malonic dialdehyde by a reaction with thiobarbituric acid. The level of diene conjugates in blood plasma was determined in the heptane phase of a heptane–isopropanol (1:1) mixture at a wavelength of 232 nm. The content of oligopeptides and substances of low and medium molecular weight in blood plasma and erythrocytes was determined by the Gabrielyan method. The activity of alkaline and acid phosphatase, the concentration of lactic acid, total protein, urea, glucose, total cholesterol, total calcium, inorganic phosphate, and C-reactive protein in blood serum and urine were determined using a HITACHI 7180 automatic biochemistry analyzer (Hitachi High-Technologies Corporation, Japan) and reagents from the Roche Kit (Shanghai, China). The concentration of total lipids was determined using the Cholesterol Uptake Fluorometric Assay Kit, and sialic acids were determined using the Sialic Acid Quantitation Kit (SIALICQ, Technical Bulletin). Superoxide dismutase in erythrocytes was determined by a reaction based on the ability of the enzyme to compete with nitroblue tetrazolium for superoxide anions formed as a result of the aerobic interaction of indole-3-acetaldehyde reductase and phenazine methosulfate. The amount of enzyme required for 50% inhibition of the reduction reaction was taken as a unit of superoxide dismutase activity.

Statistical analysis

Statistical analyses were carried out using IBM SPSS 13.0 software, and graphs were generated using GraphPad Prism 8.0. The results were processed using the variation statistics method applied to small samples. The Student’s t-test, ANOVA, chi-square analysis, or Mann-Whitney test were applied, where appropriate. The receiver operating characteristic (ROC) curve was drawn to evaluate the diagnostic and prognostic value of serum marker levels. Data are presented as mean ± standard error of the mean, and the significance levels of differences are indicated with p ≤ 0.05 or p ≤ 0.001.

Results

General information

Despite preventive measures, including strict adherence to the rules of antisepsis and asepsis, as well as prophylactic use of antibiotics, infectious complications, especially of bacterial origin (about 80% of patients), were observed in half of the cases of treatment of patients with CTBI. It is known that under conditions of bacterial infection, changes in local and systemic metabolic processes can be caused by the action of many exogenous and endogenous factors that determine the severity of the complication. In this regard, our task was to identify those biochemical parameters, changes in which in the acute period after injury would be associated with the development of purulent complications and could be used as predictor criteria for preclinical assessment of the risk of their development and prognosis of treatment in general. We studied biochemical indices of protein metabolism, general metabolic status, lipid metabolism indices and the lipid peroxidation-antioxidant protection system, endogenous intoxication, and a number of important enzymes, acids, and minerals in patients with CTBI.

All subjects with CTBI of varying severity were divided into Group 1 of patients (n = 40) without infectious complications and Group 2 of patients (n = 40) with infectious complications. The median Glasgow Coma Scale score on admission was 9 (range: 3–15). The median Injury Severity Score was 29 (range: 17–45), with a median Abbreviated Injury Scale score of 4 (range: 3–5). The average length of hospital stay for patients in Group 1 and Group 2 was 30 days. A summary of the patient and control group demographic and clinical characteristics is shown in Tables 15.

Table 1

Clinical characteristics of 80 patients with CTBI

CharacteristicNumber, n (%)
Age (n = 80)
  <5053 (66.3%)
  ≥5027 (33.8%)
Gender (n = 80)
  Male41 (51.3%)
  Female39 (48.8%)
Groups
  Group 1 without infectious complications40 (50.0%)
  Group 2 with infectious complications40 (50.0%)
Group 1 — without infectious complications (n = 40)
  Traumatic brain injury40 (100.0%)
  Spinal cord injury14 (35.0%)
  Chest organ injury32 (80.0%)
  Abdominal organ injury8 (20.0%)
  Pelvic bone injury20 (50.0%)
  Long bone injury38 (95.0%)
Group 2 — with infectious complications (n = 40)
  Traumatic brain injury40 (100.0%)
  Spinal cord injury19 (47.5%)
  Chest organ injury29 (72.5%)
  Abdominal organ injury21 (52.5%)
  Pelvic bone injury33 (82.5%)
  Long bone injury40 (100.0%)
Traumatic shock (n = 80)
  Stage I42 (52.5%)
  Stage II27 (33.8%)
  Stage III11 (13.8%)
Table 2

Aggregated baseline characteristics for healthy volunteers

CharacteristicNumber, n (%) (n = 40)
Demographics
  Age, years29.4 ± 6.1
  SexMale 21 (52.5%)
Female 19 (47.5%)
Anthropometrics
  Height, cm171.0 ± 9.0
  Weight, kg70.8 ± 11.5
  BMI, kg/m224.2 ± 3.2
Vital signs
  Systolic BP, mmHg116 ± 10
  Diastolic BP, mmHg73 ± 7
  Heart rate, bpm71 ± 8
  Temperature, °C36.6 ± 0.3
Complete blood count
  WBC, 103/µL6.2 ± 1.4
  Hemoglobin, g/dL14.0 ± 1.1
  Hematocrit, %41.2 ± 3.4
  Platelets, 103/µL260 ± 50
Basic metabolic panel / renal
  Sodium, mmol/L140 ± 2
  Potassium, mmol/L4.2 ± 0.3
  Chloride, mmol/L103 ± 3
  Bicarbonate, mmol/L24 ± 2
  BUN, mg/dL12 ± 3
  Creatinine, mg/dL0.87 ± 0.13
  Fasting glucose, mg/dL91 ± 7
Liver tests
  ALT, U/L20 ± 8
  AST, U/L22 ± 8
  Alkaline phosphatase, U/L65 ± 15
  Total bilirubin, mg/dL0.6 ± 0.2
Lipids
  Total cholesterol, mg/dL176 ± 30
  HDL cholesterol, mg/dL55 ± 12
  LDL cholesterol, mg/dL105 ± 25
  Triglycerides, mg/dLmedian 90 (IQR 70–120)
Cardiac safety
  QTc (Fridericia), ms407 ± 14
  12-lead ECGNo clinically significant conduction abnormalities in 39 (97.5%); 1 subject with minor, non-exclusionary finding (2.5%)
Urinalysis / pregnancy
  Urinalysis proteinNone 38 (95.0%), Trace 2 (5.0%)
  Urinalysis glucose/bloodNone in all 40 (100%)
  Pregnancy test (females tested), n = 19Negative 19 (100%)
Medical history / medications / allergies
  Current chronic medical conditions (any)4 (10.0%) — minor, non-exclusionary (e.g., seasonal allergic rhinitis)
  Current prescription medications6 (15.0%) — mainly oral contraceptives or short-term meds
  OTC supplements only4 (10.0%)
  No regular medications30 (75.0%)
  Allergies (any)5 (12.5%) — mostly seasonal/food; no severe drug allergies
Lifestyle / substance use
  Smoking statusCurrent 2 (5.0%), Former 6 (15.0%), Never 32 (80.0%)
  Alcohol useMedian units/week 3 (IQR 1–6)
  Recreational drug use (self-reported past year)None 39 (97.5%), Yes 1 (2.5%)
Physical exam and screening flags
  Physical exam normal or no clinically relevant findings36 (90.0%)
  Minor, non-exclusionary findings on exam4 (10.0%)
  Inclusion/exclusion criteria met (eligible)40 screened and enrolled for analysis set
Missing data
  MissingnessNo missing demographic, vitals, or ECG data. Lab results are complete for all participants except LDL (calculated) available for 39 (97.5%)
Table 3

Antibiotics and microbiology

MeasureOverall (n = 80)Group 1 (n = 40)Group 2 (n = 40)
Patients receiving ≥1 antibiotic55 (68.8%)15 (37.5%)40 (100.0%)
Patients with ≥1 positive culture38 (47.5%)2 (5.0%)36 (90.0%)
Total culture isolates recovered45 isolates (from 38 patients)2 isolates43 isolates
Gram-negative isolates (count)30 (66.7% of isolates)129
Gram-positive isolates (count)15 (33.3% of isolates)114
Table 4

Most common antibiotics used

Antibiotic (agent)Overall, nGroup 1, nGroup 2, n
Piperacillin–tazobactam30426
Vancomycin18216
Ceftriaxone1239
Levofloxacin835
Meropenem606
Cefazolin541
Ampicillin–sulbactam422
Table 5

Organisms cultured (number of isolates)

OrganismOverall, nGram type
Escherichia coli12Gram-negative
Klebsiella pneumoniae6Gram-negative
Pseudomonas aeruginosa5Gram-negative
Acinetobacter spp.2Gram-negative
Enterobacter spp.3Gram-negative
Proteus mirabilis2Gram-negative
Total Gram-negative isolates30
Staphylococcus aureus8 (MRSA = 3)Gram-positive
Enterococcus faecalis4 (VRE = 1)Gram-positive
Streptococcus spp.3Gram-positive
Total Gram-positive isolates15
Total isolates45

Protein metabolism indicators

Our observations revealed that during the period of relative stabilization of vital functions, all patients with CTBI had hypoproteinemia and hypoalbuminemia, which continued until the stabilization period (two weeks or 336 h after injury). However, in Group 1 with infectious complications, compared with Group 2 without infectious complications of the post-traumatic period, there was a decrease in the content (g/L) of the α1-globulin fraction and an increase in β-globulins on the first day after injury. At the same time, the content of proteins of the α1-globulin fraction was increased relative to the values of the control group, and at 168 h after injury it exceeded the normal reference values. The content of α2-globulins remained within normal values during the entire observation period in patients of both groups but exceeded this indicator in the control group. It should be noted that the relative content of β-globulins (which include transferrin, hemopexin, complement components, immunoglobulins, and lipoproteins) was higher than normal in the group with infectious complications virtually throughout the entire observation period (Tables 6 and 7).

Table 6

Protein metabolism indices (mean values, g/L) in blood serum in the control group (normal reference values)

GroupsTotal protein, g/LAlbumins, g/Lα1-globulins, g/Lα2-globulins, g/Lβ-globulins, g/L
Normal reference values65.0–80.0 (68.11 ± 0.42)35.0–50.0 (39.93 ± 0.42)1.0–3.0 (1.45 ± 0.06)6.0–9.0 (6.55 ± 0.08)4.0–9.0 (8.83 ± 0.14)
Table 7

Protein metabolism indices (mean values, g/L) in blood serum in CTBI patients (n = 80) at one to seven days

GroupsTotal protein, g/LAlbumins, g/Lα1-globulins, g/Lα2-globulins, g/Lβ-globulins, g/Lγ-globulins, g/L
24 h
  Group 138.27–70.13 (54.2 ±1.29)24.36–44.64 (34.5 ± 0.82)1.24–2.26 (1.75 ± 0.04)3.25–5.95 (4.6 ± 0.11)5.25–9.63 (7.44 ± 0.18)4.63–8.47 (6.55 ± 0.16)
  Group 241.95–76.91 (59.43 ±1.41)22.12–40.54 (31.33 ± 0.74)1.30–2.38 (1.84 ± 0.04)4.23–7.75 (5.99 ± 0.14)5.54–10.14 (7.84 ± 0.19)7.41–13.59 (10.5 ± 0.25)
72 h
  Group 151.30–53.80 (52.55 ± 1.25)27.66–29.00 (28.33 ± 0.673.45–3.61 (3.53 ± 0.087.92–8.30 (8.11 ± 0.197.41–7.77 (7.59 ± 0.187.69 - 8.07 (7.88 ± 0.19
  Group 255.75–58.47 (57.11 ± 1.36)32.54–34.12 (33.33 ± 0.79)3.74 - 3.92 (3.83 ± 0.09)5.85–6.13 (5.99 ± 0.14)9.52–9.98 (9.75 ± 0.23)9.87–10.35 (10.11 ± 0.24)
168 h
  Group 151.69–54.21 (52.95 ± 1.2624.77–25.97 (25.37 ± 0.606.48–6.80 (6.64 ± 0.168.13–8.53 (8.33 ± 0.208.34–8.74 (8.54 ± 0.209.64–10.10 (9.87 ± 0.23
  Group 266.60–69.84 (68.22 ± 1.62)33.93–35.59 (34.76 ± 0.83)3.15–3.31 (3.23 ± 0.08)10.31–10.81 (10.56 ± 0.25)9.77–10.25 (10.01 ± 0.24)10.41–10.91 (10.66 ± 0.25)

Values of general metabolic status indicators

It was noted that the values of the general metabolic status indicators of patients in the first 24 h after injury were higher than the standard values (Fig. 2).

The concentration of markers of metabolic status in blood serum in 80 patients after CTBI at 24, 72, and 168 h.
Fig. 2  The concentration of markers of metabolic status in blood serum in 80 patients after CTBI at 24, 72, and 168 h.

(a) Serum lactate concentration, (b) serum urea concentration, (c) serum glucose concentration, and (d) serum C-reactive protein concentration. Values are presented as mean ± SEM, *p ≤ 0.05 or **p ≤ 0.001. SEM, standard error of the mean.

Patients in both groups had spontaneous hyperglycemia, increased lactate (lactic acid), and a significant increase in C-reactive protein. The exception was urea, which did not significantly differ from the normal reference values. At the same time, no significant differences were found between similar indicators in the two groups. However, at 72 h after injury, during the period of maximum probability of complications, a significant increase in lactate concentration was observed in the blood serum of patients who later developed purulent complications (in particular, of the skeletal system), both in comparison with the standard values and in comparison with Group 1 patients. This indicator is one of the highly informative prognostic markers indicating a disturbance of carbohydrate metabolism caused by incomplete conversion of pyruvate to glucose via gluconeogenesis and often indicates tissue hypoxia and/or oxygen debt caused by hypoperfusion. The values of C-reactive protein at 168 h after injury and surgery in patients with purulent complications were slightly lower than in patients without the development of purulent infection, in whom this indicator was more than four times higher than the normal reference values (the average value at 168 h was 40.71).

Lipid metabolism indices and the lipid peroxidation-antioxidant protection system

When studying the lipid metabolism indices and the lipid peroxidation–antioxidant protection system, it was found that in the blood serum of the second group, already in the first 24 h after injury, there was excessive activation of lipid peroxidation, which was also expressed as an increase in diene conjugates by more than five and nineteen times compared with the values of the first group of patients in the first 24 h after injury and the control group in the first 24 h of blood sampling, respectively. The average values of the concentration of diene conjugates, compared with the reference values of their concentration, were 0.51, 0.365, and 0.385 mmol/L in the control group; 2.085, 4.49, and 2.42 mmol/L in patients of the first group; and 9.72, 6.61, and 2.42 mmol/L in patients of the second group at 24, 72, and 168 h, respectively. Normally, there should be no diene conjugates, as these are primary products of lipid peroxidation and toxic metabolites that damage cells and tissues of the body. Increased levels of these compounds indicate increased lipid peroxidation and the presence of pathological processes in the body. Therefore, we compared both groups of patients with the values of the concentration of diene conjugates in the blood serum of the control group at time intervals of 24, 72, and 168 h. Moreover, there was an increase in the concentration of malondialdehyde in the second group of patients compared with the first group. Malondialdehyde is a marker of oxidative stress, and elevated levels may indicate various diseases, such as coronary heart disease, oncological pathologies, stroke, and infections. Despite the activation of the lipid peroxidation system, low-density lipoproteins in the serum of patients in the second group also remained significantly elevated compared with the values of the first group of patients who did not have infectious complications (Fig. 3).

The concentration of markers of lipid metabolism indices and the lipid peroxidation–antioxidant protection system in blood serum in 80 patients after CTBI at 24, 72, and 168 h.
Fig. 3  The concentration of markers of lipid metabolism indices and the lipid peroxidation–antioxidant protection system in blood serum in 80 patients after CTBI at 24, 72, and 168 h.

(a) Serum diene conjugates concentration, (b) serum superoxide dismutase concentration, (c) serum malondialdehyde concentration, and (d) serum low-density lipoproteins concentration. Values are presented as mean ± SEM, *p ≤ 0.05 or **p ≤ 0.001. CTBI, combined traumatic brain injury; SEM, standard error of the mean.

Markers of endogenous intoxication

It is known that in severe trauma, an increase in endogenous intoxication markers may be one of the mechanisms for the progression of metabolic disorders. This indicator is one of the prognostic markers of infectious complications, multiple organ failure, and death. According to our results, during the first 24 h after injury, there was a significant increase in the concentration of substances with medium and low molecular weight in erythrocytes (more than 10 times compared with the control group), expressed only in the second group of patients with purulent infection. In the first group of patients without complications, the indicator of substances with medium and low molecular weight in erythrocytes was at the level of normal reference values compared with the control group. Substances of medium and low molecular weight in erythrocytes are a group of various physiologically active compounds with toxic properties, intermediate in size between proteins and amino acids. In the context of red blood cells and infections, substances of medium and low molecular weight that may be associated with pathological processes include pathogen waste products (toxins, antigens) and cellular debris. These substances can cause inflammatory reactions and damage to red blood cells and can also be indicators of oxidative stress and the body’s immune response to infection. They include oligopeptides and other components that can be indicators of endogenous intoxication and the state of the body. In our case, in patients with CTBI with infectious complications, in the same period—on the first day after injury—erythrocyte oligopeptides in the blood serum of patients in Group 2 were significantly higher than in Group 1 and in the control group (Fig. 4).

The concentration of markers of endogenous intoxication in blood serum in 80 patients after CTBI at 24, 72, and 168 h.
Fig. 4  The concentration of markers of endogenous intoxication in blood serum in 80 patients after CTBI at 24, 72, and 168 h.

(a) Serum medium and low molecular weight substances in erythrocytes and (b) serum erythrocyte oligopeptides. Values are presented as mean ± SEM, *p ≤ 0.05 or **p ≤ 0.001. CTBI, combined traumatic brain injury; SEM, standard error of the mean.

Enzymes, acids, and minerals

When studying the enzymes, acids, and minerals in the blood of patients with CTBI in the early postoperative period, no significant differences were found in the activities of alkaline phosphatase and acid phosphatase either between the two groups of patients or compared with the values in the control group. The concentration of uronic acids, a marker of the breakdown of the organic matrix of bone tissue, was higher values in both groups of patients. The marker of inflammatory reactions, sialic acids, differed significantly only at 168 h after injury, when other predictors of the inflammatory process appear. More informative was the increase in the blood serum of patients of the second group compared with the first group without infectious complications in total calcium (Ca) and total phosphorus (P) already at 24 and 72 h after injury (Fig. 5). This indicates the breakdown of not only the organic but also the mineral matrix of bone tissue in the second group of patients. Thus, blood serum indices characterizing the state of bone tissue metabolism are criteria for the development of infectious complications in bone tissue in patients with TBI in the early stages of the post-traumatic period.

The concentration of enzymes, acids, and minerals in blood serum in 80 patients after CTBI at 24, 72, and 168 h.
Fig. 5  The concentration of enzymes, acids, and minerals in blood serum in 80 patients after CTBI at 24, 72, and 168 h.

(a) Serum Ca, (b) serum P, (c) serum sialic acids, and (d) serum uronic acids. Values are presented as mean ± SEM, *p ≤ 0.05 or **p ≤ 0.001. CTBI, combined traumatic brain injury; SEM, standard error of the mean.

Diagnostic and prognostic value

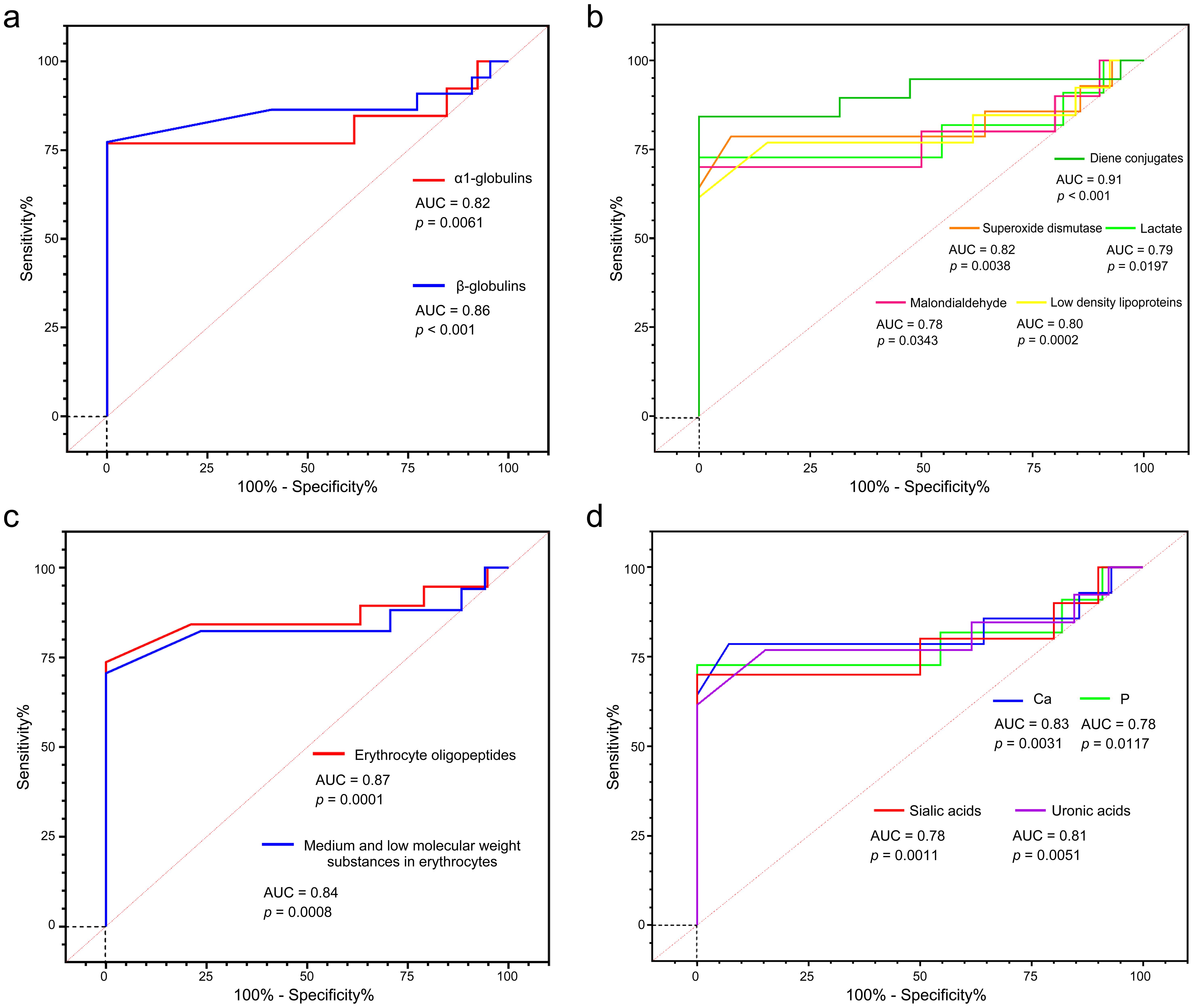
An ROC curve evaluates a biomarker’s ability to accurately classify subjects as having CTBI without infectious complications or CTBI with infectious complications (diagnostic), or to predict the development of a condition in the future (prognostic), by plotting its true positive rate (sensitivity) against its false positive rate (1 − specificity) at various cut-off values. The area under the curve (AUC) quantifies this discriminatory power, where a higher AUC (closer to 1.0) indicates superior accuracy, while an AUC of 0.75 or higher is considered reliable. For both diagnostic and prognostic use, a higher AUC demonstrates a biomarker’s effectiveness in distinguishing between groups. Figure 6 shows the ROC curve analysis and indicates that serum biochemical marker levels may serve as potential biomarkers for distinguishing Group 1 patients from Group 2 patients. The AUC was greater than 0.75 in every case (p ≤ 0.05 or p ≤ 0.001).

ROC analysis evaluating the sensitivity and specificity of biomarkers.
Fig. 6  ROC analysis evaluating the sensitivity and specificity of biomarkers.

(a) Serum α1-globulins and β-globulins (24 h). (b) Serum diene conjugates, superoxide dismutase, lactate, malondialdehyde, and low-density lipoproteins (24 h). (c) Serum medium and low molecular weight substances in erythrocytes and erythrocyte oligopeptides (24 h). (d) Serum Ca, P, sialic acids, and uronic acids (72 h). AUC, area under the curve; ROC, receiver operating characteristic.

Discussion

Conventional inflammatory markers such as white blood cell count, neutrophils, lymphocytes, monocytes, C-reactive protein, and procalcitonin are widely used in clinical practice due to their simplicity and availability. However, these markers may not always provide early or specific indications of infectious complications. Early prediction of infectious complications is necessary to determine the correct tactics for patient management. Identification of biochemical markers as early as 24 h after CTBI will allow us to determine the presence or absence of the risk of infectious complications. Thus, to assess the high risk of infectious complications in CTBI in the early postoperative period, it is not enough to consider only the physiological values of biochemical indicators. A more correct approach seems to be to compare patient indicators with metabolic indicators characterizing the development of uncomplicated traumatic disease. Such indicators should be included in the list of standardized tests, not require additional laboratory equipment, and be easily reproducible. Based on the results of this retrospective study, we found that the most important prognostic sign of the development of infectious complications, in particular purulent (bacterial) complications, is a simultaneous increase in blood serum α1-globulins, β-globulins, diene conjugates, superoxide dismutase, medium- and low-molecular-weight substances in erythrocytes, erythrocyte oligopeptides, and lactate in the first 24 h after injury, as well as an increase in sialic acids, uronic acids, total Ca and P, and low-density lipoproteins at 72 h after injury. Injuries and infections are accompanied by changes in the levels of α1- and β-globulins: α1-globulins, as acute-phase proteins, can increase with inflammation, and β-globulins, involved in the transport of lipids and iron, as well as in immune reactions, can change depending on the specifics of the pathological process, for example, due to impaired lipid metabolism or immune activation.10,11 A significant increase in the content of diene conjugates, the primary products of lipid peroxidation, in this category of patients (Group 2 patients) is accompanied by a significant decrease in malonic dialdehyde, apparently due to its neutralization in a reaction with molecules that make up cellular structures.12 The compounds formed in this case are not able to perform the functions necessary for the cell and are subject to removal. A decrease in the content of the natural antioxidant α-tocopherol and malonic dialdehyde is characteristic of the chronicity of the inflammatory process and confirms the participation of peroxidation products in the spread of the inflammatory process after CTBI. The generally accepted approach to the analysis of biochemical manifestations of the severity of endotoxicosis is the registration of the degree of metabolic disorders in the body. Biochemical laboratory tests cannot be strictly specific, but based on the results of the analysis, a conclusion can be made about the severity of endogenous intoxication.

Medium-weight molecules are generally recognized markers of endogenous intoxication. This is a heterogeneous group of biologically active substances with a molecular weight of less than 5,000 daltons. An increase in the level of medium-weight molecules occurs with increased protein catabolism, deterioration in the functioning of the body’s detoxifying systems, or a combination of these processes. A study of the pool of these molecules made it possible to identify two groups of substances: substances with medium and low molecular weight and oligopeptides.13,14 The first group includes non-protein compounds: urea, creatinine, organic acids, fatty acids, free-radical oxidation products, toxic metabolites (alcohols and carboxylic acids), some vitamins, toxic components of intestinal contents, and intermediate metabolites (ketones, aldehydes, ammonia).15–17 The second group includes substances of protein nature: glycopeptides, nucleopeptides, hormones, oligosaccharides, immune response mediators, etc.18,19 Initially, markers of endotoxicosis, substances with medium and low molecular weight and oligopeptides later become secondary toxins, directing the course of the pathological process along an unfavorable path and having a negative effect on the vital activity of all body systems.

Elevated lactate levels in trauma and infections indicate tissue hypoxia and metabolic disorders, which can lead to lactic acidosis, a dangerous accumulation of lactic acid in the blood. Trauma causes hypoxia and anaerobic metabolism, and infections can increase inflammation and disrupt oxygen transport. Lactate levels are used as an important prognostic indicator of the severity of the condition in shock, sepsis, and other critical conditions that require immediate medical attention.20,21 However, we believe that an increase in low-density lipoproteins in CTBI and in cases with infectious complications is not a standard reaction but rather indicates concomitant or developing disorders. Low-density lipoproteins are elevated in diabetes mellitus, hypothyroidism, liver and kidney disease, obesity, and alcoholism, which can be aggravated or develop against the background of trauma and infection.22 Trauma and infection can indirectly affect the body’s Ca and P levels by causing disturbances in their metabolism, which can lead to weakened bones or other health problems. For example, severe infections can cause elevated phosphate levels, and trauma can disrupt bone mineralization processes that involve Ca and P.23,24

Our study has several limitations that should be acknowledged. First, we did not collect detailed information on surgical interventions, body temperature records, or the specific sources of infection, which are essential for a comprehensive assessment of infectious complications. Second, we did not conduct a direct statistical comparison between conventional inflammatory markers and the identified markers to evaluate their relative diagnostic accuracy and predictive value. Third, our study was retrospective and based on a relatively small sample size from a single center, which may limit the generalizability of our findings. Future research should address these limitations by incorporating a broader range of clinical data and conducting more comprehensive analyses to further explore the clinical utility of these biochemical markers.

Conclusions

There is great interest in studying markers of CTBI, which is associated with both the annual increase in the number of victims with CTBI and the growing need to improve the quality of diagnostics and care. This study identified a set of biochemical markers associated with infectious complications in patients with CTBI. These markers may serve as additional diagnostic and prognostic criteria for identifying patients at high risk of infectious complications, thereby facilitating early intervention and optimizing therapeutic strategies to reduce mortality associated with post-traumatic infections. However, further validation of these markers in larger prospective studies is needed to confirm their clinical utility. Future research should explore the combined application of these markers with conventional inflammatory markers to enhance diagnostic accuracy and prognostic value.

Declarations

Acknowledgement

None.

Ethical statement

This study was approved by the Ethics Committee of the Educational and Scientific Institute of Neurosurgery, People’s Friendship University of Russia (Protocol No. 63, January 21, 2022). The study was conducted in accordance with the principles of the Declaration of Helsinki (as revised in 2024). Individual consent for this retrospective analysis was waived.

Data sharing statement

All relevant raw data are freely available to researchers who wish to use them for non-commercial purposes, while preserving necessary confidentiality and anonymity. The datasets are available upon request from the corresponding author.

Funding

None.

Conflict of interest

Ilgiz Gareev has been an editorial board member of the journal Neurosurgical Subspecialties since November 2024. The authors have no other conflicts of interest to report.

Authors’ contributions

Conceptualization, writing-original draft preparation, writing-review and editing (IG), validation, investigation, resources, visualization (OB), acquisition, analysis, interpretation of the data (RD, HZ, RB, VR), and project administration (EM). All authors have read and agreed to the published version of the manuscript.

References

  1. Jung H, Heo I, Jung K. Outcomes and prognostic factors in patients with combined severe traumatic brain injury and abdominal trauma: a retrospective observational study. BMC Emerg Med 2025;25(1):161 View Article PubMed/NCBI
  2. Mukhametov U, Lyulin S, Borzunov D, Ilyasova T, Gareev I, Sufianov A. Immunologic response in patients with polytrauma. Noncoding RNA Res 2023;8(1):8-17 View Article PubMed/NCBI
  3. Meisel C, Schwab JM, Prass K, Meisel A, Dirnagl U. Central nervous system injury-induced immune deficiency syndrome. Nat Rev Neurosci 2005;6(10):775-786 View Article PubMed/NCBI
  4. Ritter M. Evidence-Based Pearls: Traumatic Brain Injury. Crit Care Nurs Clin North Am 2023;35(2):171-178 View Article PubMed/NCBI
  5. Wang KK, Yang Z, Zhu T, Shi Y, Rubenstein R, Tyndall JA, et al. An update on diagnostic and prognostic biomarkers for traumatic brain injury. Expert Rev Mol Diagn 2018;18(2):165-180 View Article PubMed/NCBI
  6. Ghaith HS, Nawar AA, Gabra MD, Abdelrahman ME, Nafady MH, Bahbah EI, et al. A Literature Review of Traumatic Brain Injury Biomarkers. Mol Neurobiol 2022;59(7):4141-4158 View Article PubMed/NCBI
  7. Mondello S, Hayes RL. Biomarkers. Handb Clin Neurol 2015;127:245-265 View Article PubMed/NCBI
  8. Beylerli O, Tamrazov R, Gareev I, Ilyasova T, Shumadalova A, Bai Y, et al. Role of exosomal ncRNAs in traumatic brain injury. Noncoding RNA Res 2023;8(4):686-692 View Article PubMed/NCBI
  9. Gareev I, Yang G, Sun J, Beylerli O, Chen X, Zhang D, et al. Circulating MicroRNAs as Potential Noninvasive Biomarkers of Spontaneous Intracerebral Hemorrhage. World Neurosurg 2020;133:e369-e375 View Article PubMed/NCBI
  10. LaRosa SP, Opal SM. Biomarkers: the future. Crit Care Clin 2011;27(2):407-419 View Article PubMed/NCBI
  11. Needham EJ, Helmy A, Zanier ER, Jones JL, Coles AJ, Menon DK. The immunological response to traumatic brain injury. J Neuroimmunol 2019;332:112-125 View Article PubMed/NCBI
  12. Lorente L, Martín MM, Abreu-González P, Ramos L, Argueso M, Cáceres JJ, et al. Association between serum malondialdehyde levels and mortality in patients with severe brain trauma injury. J Neurotrauma 2015;32(1):1-6 View Article PubMed/NCBI
  13. Clark WR, Winchester JF. Middle molecules and small-molecular-weight proteins in ESRD: properties and strategies for their removal. Adv Ren Replace Ther 2003;10(4):270-278 View Article PubMed/NCBI
  14. Masakane I, Sakurai K. Current approaches to middle molecule removal: room for innovation. Nephrol Dial Transplant 2021;36(4):747 View Article PubMed/NCBI
  15. Bazinet RP, Layé S. Polyunsaturated fatty acids and their metabolites in brain function and disease. Nat Rev Neurosci 2014;15(12):771-785 View Article PubMed/NCBI
  16. Oft HC, Simon DW, Sun D. New insights into metabolism dysregulation after TBI. J Neuroinflammation 2024;21(1):184 View Article PubMed/NCBI
  17. Banoei MM, Casault C, Metwaly SM, Winston BW. Metabolomics and Biomarker Discovery in Traumatic Brain Injury. J Neurotrauma 2018;35(16):1831-1848 View Article PubMed/NCBI
  18. Steffen P, Kwiatkowski M, Robertson WD, Zarrine-Afsar A, Deterra D, Richter V, et al. Protein species as diagnostic markers. J Proteomics 2016;134:5-18 View Article PubMed/NCBI
  19. Zetterberg H, Blennow K. Fluid markers of traumatic brain injury. Mol Cell Neurosci 2015;66(Pt B):99-102 View Article PubMed/NCBI
  20. Evans L, Rhodes A, Alhazzani W, Antonelli M, Coopersmith CM, French C, et al. Surviving Sepsis Campaign: International Guidelines for Management of Sepsis and Septic Shock 2021. Crit Care Med 2021;49(11):e1063-e1143 View Article PubMed/NCBI
  21. Retel Helmrich IRA, Lingsma HF, Turgeon AF, Yamal JM, Steyerberg EW. Prognostic Research in Traumatic Brain Injury: Markers, Modeling, and Methodological Principles. J Neurotrauma 2021;38(18):2502-2513 View Article PubMed/NCBI
  22. Won H, Bae JH, Lim H, Kang M, Kim M, Lee SH, et al. 2024 KSoLA Consensus on Secondary Dyslipidemia. J Lipid Atheroscler 2024;13(3):215-231 View Article PubMed/NCBI
  23. Kocik VI, April MD, Rizzo JA, Dengler BA, Schauer SG. A Review of Electrolyte, Mineral, and Vitamin Changes After Traumatic Brain Injury. Mil Med 2024;189(1-2):e101-e109 View Article PubMed/NCBI
  24. Frenkel A, Shiloh A, Vinokur V, Boyko M, Binyamin Y, Dreiher J. Exploring the association between serum phosphate levels and mortality in patients hospitalized with infectious diseases: a nationwide study. Front Med (Lausanne) 2024;11:1362106 View Article PubMed/NCBI

About this Article

Cite this article
Beylerli O, Zhang H, Musaev E, Dzhindzhikhadze R, Biktimirov R, Rashidov V, et al. Biochemical Markers Indicating a High Risk for Infectious Complications in Patients with Combined Traumatic Brain Injury: A Retrospective Observational Study. Neurosurgical Subspecialties. 2025;1(4):175-187. doi: 10.14218/NSSS.2025.00042.
Copy        Export to RIS        Export to EndNote
Article History
Received Revised Accepted Published
September 15, 2025 December 2, 2025 December 16, 2025 December 31, 2025
DOI http://dx.doi.org/10.14218/NSSS.2025.00042
  • Neurosurgical Subspecialties
  • eISSN 3067-6150
Back to Top

Biochemical Markers Indicating a High Risk for Infectious Complications in Patients with Combined Traumatic Brain Injury: A Retrospective Observational Study

Ozal Beylerli, Hongli Zhang, Elmar Musaev, Revaz Dzhindzhikhadze, Ravil Biktimirov, Vadim Rashidov, Ilgiz Gareev
  • Reset Zoom
  • Download TIFF